Ký sinh trùng sốt rét P. falciaprum khángartemisinin và các dẫn suất tại nhiều vùng ở khu vực Đông Nam Á đe dọa các thành quả của chương trình phòng chống và loại trừ sốt rét,để giám sát hiệu lực thuốc và thực trạng kháng thuốc diễn ra quy mô nào thì việc phát hiện các chỉ điểm phân tử rất cần thiết, liên quan giữa đột biến gen K13 đối với kháng artemisinin đang được các nhà khoa học quan tâm nghiên cứu.
Tính đa hình các đột biến gen K13 được xác định có mặt tại nhiều tỉnh của Campuchia và gần đây được báo cáo tại nhiều nơi trên thế giới, đặc biệt khu vực tiểu vùng sông Mê Kông (Myanmar, Thái Lan, Việt Nam, Bangladesh, Lào).
Trong nghiên cứu của Frederic Ariey và cộng sự (2014) nhằm phát hiện một chỉ điểm (marker) phân tử kháng artemisinin, dòng P. falciparum F32-ART5 kháng artemisinin đã được chọn lọc bằng phương pháp nuôi cấy liên tục từ dòng KSTSR nhạy cảm với artermisinin F32-Tanzania dưới áp lực thuốc artemisinin trong 125 chu kỳ trong 5 năm với liều tăng dần thuốc artemisinin. Bằng phương pháp giải trình trình tự toàn bộ gen F32-TEM (dòng KSTSR nuôi cấy không có áp lực artermisinin), F32-Tanzania hoặc 3D7 (dòng KST nhạy cảm với artermisinin), nhóm nghiên cứu đã phát hiện dòng KSTSR kháng ART F32-ART5 có 07 gen, mà mỗi gen chứa đựng một mã codon đột biến so với các dòng KSTSR còn lại, trong khi dòng KSTSR nhạy không tìm thấy các đột biến này.
Trong số những gen này, chỉ có gen PF3D7_1343700 cho thấy mối liên quan quan trọng với tỷ lệ sống sót của KSTSR trong thử nghiệm RSA0-3h.
Gen PF3D7_1343700 nằm ở vị trí 5,9 kilobases ở phần đầu locus có trọng lượng phân tử 35kb và nằm trong vùng dấu hiệu ưu tiên để chọn lọc. Ngoài ra, các gen giả định liên quan đến kháng artemisinin (Pfcrt, Pftctp, Pfmdr1, Pfmrp1 và vận chuyển ABC) hoặc mã hóa các mục tiêu giả định của ART (PfATPase6 và Pfubcth-the orthologue Plasmodium chabaudi ubp1) đã không bị biến đổi trong quá trình lựa chọn 5 năm của F32-ART5 và không quan sát thấy gen Pfmdr1 khuếch đại.
Ngoài ra trong nghiên cứu này đã có sự kết hợp các đột biến trên domain PF3D7 Kelch propeller (K13- propeller) với kháng thuốc artemisinin trên nghiên cứu thử nghiệm in vivo và in vitro. Do vậy đa hình đột biến gen K13 đã được ứng dụng để tạo ra chỉ thị phân tử để xác định kháng artemisinin vì một số lý do:
-Có sự mất liên tiếp những chủng KSTSR kiểu hoang dại ở phía tâyCampuchia suốt giai đoạn bắt đầu có sự kháng artemisinin;
-Kiểu KSTSR đột biến tăng lên về tần số tại các vùng kháng thuốc của Campuchia và xuất hiện rất ít ở những nơi kháng artemisinin là không phổ biến;
-Gen PF3D7_1343700 nằm trong vùng dấu hiệu ưu tiên để chọn lọc;
-Những đột biến đa dạng trên K13-propeller phản ánh chọn lọc dương;
-Những đột biến xảy ra trên vùng gen có tính bảo tồn cao của P. falciparum, chỉ có một đột biến đa hình đơn nucleotide dạng SNPs (single nucleotide polymorphism)được ghi nhận từ một phân lập ở châu Phi;
-Tất cả các kiểu đa hình được quan sát là khác thường (trừ kiểu V568G);
-3 đột biến có tần số cao nhất trong gen K13 có mối liên quan chặt chẽ với tỷ lệ RSA0-3h trong nghiên cứu in vitrotrên các mẫu phân lập và thời gian làm sạch 50% số lượng KSTSR trên bệnh nhân;
-Tần xuất xuất hiện của những allen đột biến tương quanmạnh với tỷ lệ KSTSR dương tính ngày D3 sau khi điều trị bằng thuốc ACTs.
Các nghiên cứu về đa hình đột biến gen K13 trên thế giới và Việt Nam
Gen K13 hay Kelch 13 propeller domain gồm có 3 domain với 225 acid amin:
·Một domain có đầu N có tính chất bảo tồn đặc trưng cho loài Plasmodium spp.,
·Một domain BTB/POZ và
·Phía đầu C với 6 domain hình cánh quạt điển hình cho motif Kelch. Motif Kelch chứa protein được bảo tồn qua tiến hóa giữa các loài khác nhau và nhóm lại thành loại protein KLHL. Vật chủ là người chứa 42 protein trong protein KLHL. Đa hình các điểm đột biến gen K13, còn được gọi là “vùng cánh quạt” của protein K13 đã được chứng minh có liên quan đến tỷ lệ sống còn của KSTSR trong thử nghiệm RSA0–3h, đồng thời có liên quan đến hiện tượng chậm làm sạch KSTSR hay giảm sự nhạy cảm của KSTSR với thuốc ở giai đoạn tư dưỡng và tỷ lệ KSTSR dương tính vào ngày thứ 3 (giờ thứ 72) ở bệnh nhân điều trị SR do P. falciparum với ACTs.
Theo Frederic Ariey và cộng sự (2014), đa hình đột biến trên protein cánh quạt K13 tập trung tại các tỉnh Campuchia, nơi hiện tình trạng kháng artermisinin diễn ra phổ biến và các tần số các alen đột biến trên protein K13 ngày càng tăng có liên quan đến sự lây lan của kháng artemisinin ở khu vực phía tây Campuchia. Nghiên cứu cũng cho thấy mối tương quan chặt chẽ giữa sự hiện diện của alen đột biến, tỷ lệ KSTSR sống sót trong thử nghiệm in vitro, giống nghiên cứu thử nghiệm ex vivo (Witkowski. B và cs., 2013)và tỷ lệ làm sạch KSTSR trong thử nghiệm in vivo.

Hình 1. Phân bố các đột biến K13 theo mô hình 3D của K13 propeller domain
Mối tương quan này đã chỉ ra rằng đột biến K13-cánh quạt là yếu tố quyết định quan trọng của cơ chế kháng artermisinin và nghiên cứu của Frederic Ariey và cộng sự (2014) cũng đã xác định đa hình các đột biến trên protein K13 như một marker phân tử kháng arermisinin của P. falciparum. Đồng thời nghiên cứu của Frederic Ariey và cộng sự cũng đã xác định được 17 alen đột biến trên protein K13 ở Campuchia.
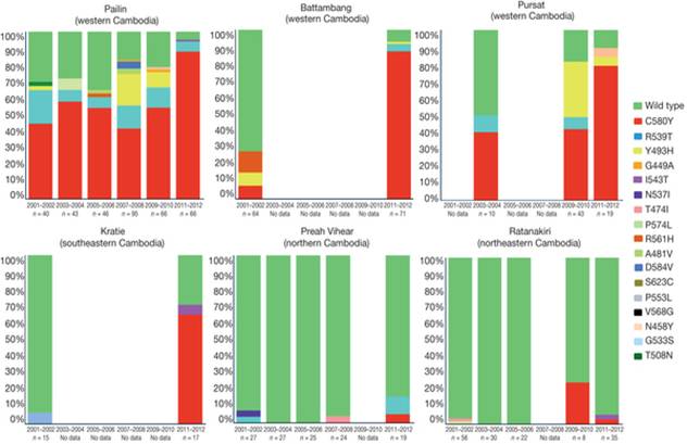
Mặc dù đã xác định được một số lượng lớn các đột biến, chỉ có một số alen đột biến có tần số cao (> 5%), có chứa đột biến SNPs, cụ thể là Y493H, R539T và C580Y nằm tương ứng ở vị trí cánh quạt 2, 3 và 4. Nghiên cứu này đã lập bản đồ các điểm đột biến xác định tỷ lệ KSTSR có chứa các đột biến có nghĩa và sự phân bố địa lý của chúng.
Quan trọng hơn, sự phân bố tần số của alen đột biến tại các tỉnh khác nhau cũng phù hợp với tỷ lệ tồn tại KSTSR ở ngày D3 ở bệnh nhân sau khi được điều trị bệnh SR do P. falciparum với thuốc phối hợp ACTs. Hiện tượng này được xem là chỉ điểm gợi ý cho kháng artemisinin trong điều trị lâm sàng.
Hình 2. Đa hình và tần số đột biến K13 propeller ở một số tỉnh Campuchia (2014)
Một nghiên cứu khác tại Campuchia của Pharath Lim và cộng sự (2013) cho biết trong khi P. falciparum đa kháng thuốc có mặt phổ biến ở khu vực phía Tây và phía Bắc Campuchia, hiện không có bằng chứng nào cho thấy có hiện tượng kháng piperaquin, điều này cũng xảy ra tương tự ở Thái Lan. Pharath Lim và cộng sự cũng lần đầu tiên nghiên cứu liệu sự gia tăng số lượng bản sao của ‘X5r’- một vùng nằm trên nhiễm sắc thể số 5, là dấu hiệu di truyền liên quan đến dòng P. falciparum PPQR4 được chọn lọc với nồng độ PPQ IC50 cao, có tương quan với việc giảm tính nhạy cảm PPQ của ký sinh trùng trong thử nghiệm lâm sàng ex vivo. Kết quả nghiên cứu đề xuất rằng tất cả các trương hợp kháng ART sau khi điều trị bằng ACTs tại Campuchia tại thời điểm nghiên cứu chủ yếu là do kháng artermisinin.
Ngoài ra, nghiên cứu của Ashley và cộng sự (2014) tại các nước Đông Nam Á và một số nước châu Phi như Nigeria, Congo, Kenya đã chỉ ra tình trạng chậm làm sạch KSTSR (thời gian làm sạch ½ KST > 5 giờ), cũng liên quan chặt chẽ với các đột biến điểm trên K13-propeller. Trong nghiên cứu này, các đột biến cánh quạt K13 có 91,8% độ nhạy và độ đặc hiệu 88,4% với thời gian làm sạch 50% dung khối KSTSR > 5 giờ. Tuy nhiên, việc kháng thuốc artemisinin lây lan chủ yếu là tại các nước Đông Nam Á.
Nghiên cứu từ 2007 đến 2012 tại biên giới Trung Quốc và Myanmar cũng đã xác định được 17 đột biến gen K13 với 7 loại đột biến mới. Đột biến F446I chiếm ưu thế với 27,2%, C580Y xuất hiện với tần số thấp 1,6% và có sự gia tăng về tần số KSTSR mang gen đột biến theo từng năm. Tuy nhiên, lại không tìm thấy các đột biến I543T, R539T và Y493H liên quan đến tình trạng chậm làm sạch KSTSR như ở Campuchia, kể cà M476I. Đi kèm là tỷ lệ tồn tại KSTSR ngày D3 tại khu vực này là > 10%, cần có những nghiên cứu tiếp theo về khả năng kháng artemisinin lan rộng sang các nước thuộc tiểu vùng Mê Kông.
Tại Việt Nam, nghiên cứu của Kamala Thriemer và cộng sự (2015) tại Quảng Nam, từ 2012-2013, trong 83 mẫu phân lập được phân tích về mặt phân tử có 67 mẫu có mang đột biến gen K13 tại vị trí 543 và 493, không tìm thấy đột biến tại vị trí 539 và 580. Mẫu phân lập mang đột biến tại vị trí 543 có thời gian làm sạch KSTSR cao hơn đáng kể so với mẫu mang đột biến dạng hoang dại (wild-type). Độ nhạy, độ đặc hiệu của đột biến SNPs 543 với tình trạng chậm làm sạch KSTSR lần lượt là 91,4% và 27,1%. Với tỷ lệ tồn tại KSTSR ngày D3 gần 30%, điểm theo dõi của Nam Trà My (Quảng Nam) cùng với điểm Phú Thiện (Gia Lai) được TCYTTG đánh giá là khu vực đầu tiên của Việt Nam không có giao lưu biên giới nghi ngờ xuất hiện kháng thuốc artemisinin.
Mặt khác, theo nghiên cứu tiến hành tại Bangladesh, Abu Naser Mohon và cộng sự (2014) đã phát hiện thêm một đột biến tại vị trí A578S, đột biến này nằm gần vị trí với đột biến đã biết là C580Y ở Đông Nam Á. Theo tác giả, đột biến này gây ra sự thay đổi cấu trúc không gian của protein bằng cách thay đổi bề mặt tương tác với protein khác dẫn đến biến đổi chức năng sinh học của protein, làm ảnh hưởng đến các hoạt động của artermisinin, kết quả là thời gian làm sạch KSTSR bị kéo dài (Ashley và cs., 2014). Tuy nhiên, đột biến này không liên quan đến việc tăng thời gian làm sạch ½ KSTSR (parasite clerance half-life) hay nói cách khác là không liên quan đến kháng artemisinin. Dẫn liệu đã chứng minh rằng đột biến liên quan chặt chẽ với kháng artemisinin là không có mặt ở Bangladesh. Việc xác định liệu kháng artemisinin gây ra sự lây lan hay là độc lập với sự nổi lên do sốt rét tại khu vực biên giới Campuchia-Thái Lan là điều hết sức cần thiết. Nếu vấn đề kháng thuốc tồn tại ở một khu vực nhỏ, nó có thể được kiểm soát và loại trừ, ngược lại kháng thuốc có thể lây lan sang các nước lân cận như Việt Nam, Lào, Myanmar khi đó sẽ là thảm họa phức tạp.
Theo Rie Isozumi và cộng sự (2015) tại Kenya, đã xác định được 4 đột biếncó ý nghĩa và 5 đột biến “im lặng” ở vùng bảo tồn cao của gen K13 trên P. falciparum và các đột biến này có tính chất xuất hiện theo mùa (?). Tuy nhiên, những đột biến này không giống với công bố của Arieyvà cộng sự năm 2014. Tác giả đã tìm ra đột biến A78S tại quần đảo Mfangano.Cũng tương tự như nghiên cứu của Abu Naser Mohon tại Bangladesh, tác giả cũng cho rằng đột biến này làm biến đổi acid amin từ dạng kỵ nước sang dạngưa nước, nằm gần vị trí với đột biến C580Y (được xác định tại Campuchia), ảnh hưởng đếntương tác protein-protein, điều này làm ảnh hưởng đến tính nhạy của KSTSR với artemisinin.
Tại Myanmar, P. falciparum kháng artemisinin được được báo cáo tại khu vực biên giới Myanmar- Thái Lan từ nhiều năm trước và tình trạng chậm làm sạch KSTSR sau khi điều trị với ACTs cũng được xác định ở miền Nam Myanmar trong những năm gần đây (Kyaw MP và cs., 2013).
Trong 2011-2012, dẫn liệu cho thấy tỷ lệ chậm làm sạch KSTSR là 15%, với thời gian làm sạch ½ số lượng KST là > 5 giờ và khoảng 25% số ca có mang các đột biến gen K13(Ashley EA và cs., 2014). Nghiên cứu đánh giá sự hiện diện tính đa hình các đột biến trên protein K13 hiện nay tiếp tục được thực hiện với các mẫu giấy thấm thu thập tại Myanmar trong suốt nghiên cứu về hiệu quả phương pháp điều trị trong thời gian 2012-2013 nhằm mục đích lập bản đồ mức độ kháng artemisinin và đáp ứng khẩn cấp các hoạt động ngăn chặn phù hợp.
Nghiên cứu trong năm 2013-2014, đã xác định được 29 đột biến khác nhau tại vị trí sau acid amin 210, với 26 đột biến trong số đó nằm sau vị trí acid amin 440 (cho thấy hầu hết các đột biến này nằm tập trung tại cánh quạt đầu tiên, từ acid amin 441-475) với 3 đột biến có tần số cao nhất lần lượt là C580Y , F446I và P574L và nhiều đột biến khác, phần lớn các đột biến này đã được xác định trong các nghiên cứu tại Campuchia. Đặc biệt là sự có mặt của đột biến M476I do quá trình chọn lọc trong thời gian dài với áp lực thuốc artemisinin (Feredic Ariey và cs., 2014). Đột biến C580Y được cho là liên quan đến tình trạng chậm làm sạch KSTSR có mặt ở khu vực biên giới của Myanmar-Thái Lan với tần số cao nhất, tiếp theo đó là F446I ở khu vực gần biên giới Ấn Độ. Trong khi sự phân bố khác nhau của các đột biến tại các vùng địa lý khác nhau chưa được làm rõ nhưng có thể giải thích rằng Myanmar đang ở giai đoạn đầu của quá trình tiến hóa (so với các điểm ở Campuchia).
Những đột biến ở Myanmar cho thấy sự giảm mức độ kháng artemisinin, có thể là do có sự chọn lọc đặc biệt từ việc sử dụng thuốc SR, tính di truyền của vật chủ hoặc muỗi sinh học có thể dẫn đến sự phân bố khác nhau về các đột biến ở 2 vùng phía Nam và bắc Myanmar. Cần có những nghiên cứu sâu hơn về sự thích ứng của KSTSR và độ nhạy với thuốc SR có thể giải đáp câu hỏi này.
Amed Ouattara và cộng sự đã tiến hành một nghiên cứu tại Mali, nơi mà kháng artemisinin dẫn đến tình trạng chậm làm sạch KSTSR là chưa được báo cáo, kết quả thu được một số đột biến gen K13 với tần số thấp.
Tuy nhiên, các đột biến được cho là liên quan chặt chẽ đến tình trạng chậm làm sạch KST tìm thấy tại các nước Đông Nam Á là không có mặt ở Mali. Các đột biến tìm thấy tại Mali nằm trên miền protein có liên quan đến việc kéo dài thời gian làm sạch KSTSR. Do vậy, nghiên cứu xác định không có mối tương quan giữa đột biến K13 và kháng artemisinin tại Mali, tương tự các nghiên cứu tại 14 quốc gia khác tại châu Phi (Taylor SM và cs., 2014). Nghiên cứu tại Senegal từ 2012-2013, chỉ phát hiện 2 đột biến gen K13 là T149S và K189T, không phát hiện các đột biến liên quan đến kháng artemisinin đã được xác định tại Đông Nam Á (Torrentino-Madamet M và cs., 2014).
Nghiên cứu tại Uganda đánh giá sự liên quan giữa đột biến gen K13 và Falcipain-2 với tình trạng kháng artemisinin. Loại Falcipain-2 hay cysteine protease falcipain-2 (FP2; PF3D7_1115700) là một enzym protease thủy phân hemoglobine của hồng cầu vật chủ. Đột biến tại codon 69 dẫn đến gián đoạn gen Falcipain-2 có thể “khóa lại” quá trình thủy phân hemoglobin, dẫn đến KSTSR tăng nhạy cảm với các chất ức chế protease và kết quả là làm giảm hoạt động của artemisinin (Rosenthal PJ và cs., 2011).
Phân tích về mặt phân tử, ngoài sự có mặt một số đột biến không liên quan đến kháng artemisinin, không thấy có mặt các đột biến C580Y, R539T hay Y493H, là những đột biến liên quan chặt chẽ với tình trạng chậm làm sạch KSTSR tại các nước Đông Nam Á, kể cả đột biến M476I. Như vậy, sự hạn chế về đa hình các đột biến gen K13 và đa dạng trong cấu trúc gen Falcipain-2 không thay đổi trước và sau khi sử dụng ACTs một cách rộng rãi để điều trị SR do P. falciparum cho thấy đột biến gen K13 không ảnh hưởng đến việc điều trị bằng ACTs và ACTs vẫn là thuốc điều trị sốt rét P. falciparum hiệu quả tại quốc gia này (Melissa D. Conrad và cs., 2014).
Tất cả kết quả trên cho thấy mối quan tâm đến kháng thuốc artemisinin trở thành vấn đề cấp bách tại Việt Nam, một quốc gia chia sẻ với dải biên giới dài với Campuchia, Lào, Trung Quốc, đặc biệt là các tỉnh miền Trung-Tây Nguyên - nơi có tỷ lệ mắc và tử vong cao do sốt rét hàng năm và các nguy cơ giảm hiệu lực DHA-PPQ, thậm chí thất bại điều trị hoặc kháng là có thể rất cao.
Vấn đề cần thiết hiện nay vẫn đang thiếu một marker phân tử có ý nghĩa trong việc kiểm soát sự lây lan của P.falciparum kháng với artermisinin trong điều trị lâm sàng, điều này đã cản trở việc tập trung ngăn chặn KSTSR kháng artemisinin tại các khu vực đã được ghi nhận là có tình trạng kháng artemisinin và gây ảnh hưởng đến việc phát hiện nhanh KSTSR ở những nơi khác, nơi ACTs vẫn là thuốc chống sốt rét hiệu quả và giá hợp lý. Nhìn chung, đột biến K13 cung cấp một công cụ phân tử mới tiềm năng đối với kháng artemisinin, có liên quan đến quá trình làm sạch KSTSR thể vô tính tại các điểm kháng thuốc. Nhiều đột biến K13tồn tại, song không phải luôn luôn tỷ lệthuận với sự làm sạch chậm KSTSR sau điều trị artesunate hoặc dẫn suất. Xuất hiện kháng artemisinin và lan rộng dường như độc lập với nhau, do đó cần thiết phải hiểu và làm rõ vai tròchỉ điểm phân tử K13 để giám sát kháng artemisinin cho phù hợp.
Vấn đề đặt ra và có thể phải nghiên cứu làm rõ?
-Hiện tại kháng thuốc thật sự đã xảy ra chưa hay chỉ là “giảm dung nạp thuốc” vì với các chỉ điểm phân tử cũng như tiêu chí đánh giá kháng thuốc vẫn còn thay đổi theo thời gian như chúng ta thấy từ 2009-2015;
-Nếu đánh giá có sự liên quan giữa sự chậm làm sạch KSTSR sau 3 ngày điều trị bằng thuốc ACTs với các đột biến thì những ca còn tồn tại KSTSR thể vô tính ngày D3 nhưng không có đột biến hoặc ngược lại thì giải thích như thế nào?
-Với các kỹ thuật phân tích hiện có như hiện nay liệu có đủ cho kết quả khẳng định và làm cơ sở cho sàng lọc kháng thuốc hàng loạt tại nhiều vùng khác nhau hay không?
-Hiện vẫn còn rất ít các ấn bản đánh giá lĩnh vực dược động học liên quan đến kháng thuốc cả P.falciparum và P. vivax và chúng ta nên coi trọng nghiên cứu này, vai trò của chúng như chỉ điểm đáng tin cậy trong phân tích kháng thuốc. Tại Việt Nam, chúng ta vẫn còn nhiều khoảng trống các nghiên cứu như thế nên các số liệu thuyết phục về kháng thuốc cần bổ sung các số liệu này;
-Các phương diện giữa lý thuyết đến thực hành đôi khi nhận được kết quả khác nhau. Do đó, cần có các tiêu chí và điểm bổ sung trong định nghĩa kháng thuốc;
-Đến nay chúng ta vẫn chưa thể phân tích tổng thể đầy đủ các yếu tố góp phần vào một trường hợp kháng thuốc (vì nó có thể liên quan đến con người, muỗi, ký sinh trùng, tình trạng dung nạp và miễn dịch, đột biến phân tử liên đới,...);
-Kháng thuốc hiện nay không những có xuất hiện tại các vùng biên giới quốc tế giữa các quốc gia mà còn xuất hiện các vùng mà người dân hoàn toàn không hề có giao lưu như điểm nghiên cứu ở Nam Trà My ở Quảng Nam và điểm Phú Thiện ở Gia Lai à Đây có thể là điêm thú vị trong nghiên cứu tiếp theo đánh giá tổng thể về kháng thuốc.