Sốt rét trong những năm gần đây có xu hướng giảm ở tất cả các khu vực khác nhau trên thế giới, trong đó có Việt Nam. Cụ thể, năm 2010 ước tính có 251 triệu ca mắc sốt rét trên toàn cầu, trong đó có 585.000 ca tử vong. Năm 2018, ước tính có số ca mắc giảm xuống còn 228 triệu ca và có 405.000 ca tử vong.
Như vậy, số ca mắc và tử vong trên toàn cầu trong giai đoạn này giảm lần lượt là 9,2% và 30,1% kể từ năm 2010. Tuy nhiên, hiện nay sốt rét vẫn phải đối mặt với nhiều thách thức trong cuộc chiến chống lại bệnh sốt rét trên phạm vi toàn cầu, trong đó có véc tơ sốt rét kháng hóa chất diệt côn trùng.
Véc tơ sốt rét kháng hóa chất diệt côn trùng
Tình trạng véc tơ sốt rét kháng với các hoá chất diệt côn trùng đang được sử dụng phổ biến hiện nay để phòng chống véc tơ sốt rét, cụ thể như pyrethroids, phốt phát hữu cơ (organophosphates), carbamates và đôi khi cũng sử dụng hóa chất nhóm Clo hữu cơ (organochlorine) là Dichlorodiphenyltrichloroethane (DDT), khiến cho những nỗ lực phòng chống và loại trừ sốt rét bị đe dọa.
Từ năm 2010 đến năm 2018, có khoảng 81 quốc gia đã báo cáo số liệu nhạy kháng từ tổng cộng 3.075 điểm cho Tổ chức Y tế thế giới (WHO), tăng 10% điểm so với giai đoạn 2010-2017. Phạm vi và tần suất giám sát kháng hóa chất diệt côn trùng tiếp tục thay đổi đáng kể giữa các quốc gia. Trong số 81 quốc gia thì có 63 quốc gia báo cáo dữ liệu giám sát kháng hóa chất diệt côn trùng ít nhất một lần trong vòng 3 năm qua và 18 quốc gia không có. Chỉ có 59 quốc gia trong số 81 quốc gia nhất quán báo cáo tình trạng kháng hóa chất diệt côn trùng hàng năm trong 3 năm qua. Số điểm trên mỗi quốc gia mà có dữ liệu giám sát kháng được báo cáo trong giai đoạn 2010 - 2018 rất đa dạng, từ một điểm đến 271 điểm.
Tổng cộng có 73 quốc gia ghi nhận tình trạng kháng với ít nhất một hóa chất diệt côn trùng ở một loài véc tơ sốt rét từ một điểm thu thập muỗi trong giai đoạn 2010-2018, gia tăng 5 quốc gia so với giai đoạn báo cáo trước đó (2010-2017). Số quốc gia báo cáo tình trạng kháng ở ít nhất một loài véc tơ đối với tất cả 4 nhóm hóa chất chính được sử dụng cho đến ngày nay tăng từ 22 lên 26 quốc gia và số quốc gia báo cáo kháng đối với 3 trong 4 nhóm hóa chất ở ít nhất một loài véc tơ sốt rét đã gia tăng từ 16 lên 18 quốc gia. Trong số các quốc gia báo cáo dữ liệu giám sát kháng hóa chất diệt côn trùng cho Tổ chức Y tế thế giới, tỷ lệ các quốc gia ghi nhận tình trạng kháng với từng nhóm hóa chất này là 87,5% đối với pyrethroids, 81,5% đối với nhóm hóa chất Clo hữu cơ (organochlorines), 68% đối với carbamates và 56% đối với nhóm phốt phát hữu cơ (organophosphates). Chỉ có 8 quốc gia báo cáo không ghi nhận tình trạng kháng với bất kỳ nhóm hóa chất nào.

Hình 1. Tình trạng kháng hóa chất diệt côn trùng nhóm pyrethoids của muỗi An. dirus s.l.
tại khu vực Tiểu vùng Sông Mê Kông (WHO, 2019).
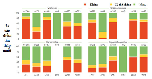
Tình trạng kháng với 4 nhóm hóa chất diệt côn trùng được đề cập ở trên đã được phát hiện ở tất cả các khu vực của Tổ chức Y tế thế giới, ngoại trừ khu vực châu Âu. Trên toàn cầu, kháng pyrethroids được phát hiện ở ít nhất một loài véc tơ sốt rét tại 68% các điểm có sẵn dữ liệu và kháng với Clo hữu cơ (organochlorines) được phát hiện ở 63% các điểm báo cáo. Kháng với carbamates và phốt pho hữu cơ (organophosphates) ít phổ biến hơn, phát hiện lần lượt ở 31% và 26% các điểm báo cáo số liệu giám sát. Tuy nhiên, phạm vi địa lý ghi nhận tình trạng kháng đối với mỗi nhóm hóa chất diệt côn trùng là khác nhau đáng kể giữa các khu vực.
Công tác thu thập và báo cáo dữ liệu nhằm hướng dẫn triển khai các công cụ kiểm soát véc tơ thẩm định gần đây nằm trong các khuyến nghị chính sách của WHO đã được cải thiện đáng kể. Cần tăng cường hơn nữa hướng dẫn triển khai có chiến lược các cộng cụ hiện đang được Tổ chức Y tế thế giới đánh giá. Cho đến năm 2018, tổng cộng có 17 quốc gia đã theo dõi sự tham gia của các cơ chế kháng chuyển hóa trong kháng pyrethroid bằng phương pháp thử nghiệm sinh học (bioassays) trước khi tiếp xúc piperonyl butoxide (PBO). Đến năm 2018, số quốc gia báo cáo dữ liệu từ các phương pháp bioassays này cho WHO đã tăng lên 23 quốc gia, tất cả các quốc gia này đều phát hiện có sự liên quan một phần hoặc toàn bộ của cơ chế kháng chuyển hóa ở kháng kiểu hình (phenotypic resistance) đối với pyrethroids tại ít nhất một điểm giám sát với ít nhất một loài véc tơ và một hóa chất thuộc nhóm pyrethroid. Trong số 190 điểm có dữ liệu kháng được báo cáo cho đến năm 2018 thì có 187 điểm đã phát hiện có sự liên quan toàn bộ hoặc một phần của các cơ chế kháng chuyển hóa ở ít nhất một loài véc tơ và một hóa chất nhóm pyrethroid.

Hình 2. Tình trạng kháng hóa chất nhóm pyrethoids của muỗi An. minimus s.l. tại khu vực
Tiểu vùng Sông Mê Kông (WHO, 2019)
Các kết quả thử nghiệm hóa sinh và sinh học phân tử được thực hiện để phát hiện các cơ chế kháng chuyển hóa hiện sẵn có cho 24 quốc gia và 160 điểm trong giai đoạn 2010-2018. Mono-oxygenases được phát hiện ở 64% các điểm có báo cáo (84/160), glutathione-S-transferases được phát hiện ở 76% điểm (83/160) và esterases ở 77% điểm (114/160). Các kết quả thử nghiệm được thực hiện để phát hiện các cơ chế kháng do biến đổi vị trí đích (target-site resistance mechanisms) hiện sẵn có ở 43 quốc gia và 628 điểm. Đột biến Kdr L1014F được phát hiện ở 76% điểm (514/628) và Kdr L1014S ở 42% điểm (311/628).

Hình 3. Bản đồ kháng hóa chất diệt côn trùng nhóm pyrethroid của 3 véc tơ sốt rét chính tại Việt Nam
Trong thời gian gần đây, các quốc gia thành viên của Tổ chức Y tế thế giới và các đối tác đã bắt đầu nghiên cứu các quy trình và liều lượng để giám sát muỗi kháng với hóa chất neonicotinoid và pyrrole. Một quy trình chính thức của WHO nhằm xây dựng các liều lượng riêng biệt và các quy trình thử nghiệm cho hai nhóm hóa chất này đang được phát triển và sẽ hoàn thành trong năm 2020. Số liệu muỗi chết sau sau khi tiếp với với hóa chất neonicotinoid và pyrrole đã báo cáo lên Tổ chức Y tế thế giới cho đến nay sẽ được đánh giá dựa trên các liều lượng phân biệt này một khi chúng được hoàn thiện. Quy trình thử nghiệm WHO đối với giám sát kháng hóa chất diệt côn trùng sẽ được cập nhật trong năm 2020 để kết hợp liều lượng riêng biệt mới và những thay đổi tiềm năng đối với quy trình thử nghiệm.
Tất cả dữ liệu kháng hóa chất diệt côn trùng tiêu chuẩn đã báo cáo cho WHO đều được bao gồm trong Cơ sở dữ liệu kháng hóa chất toàn cầu WHO và sẵn có để khám phá thông qua công cụ lập bản đồ trực tuyến - Bản đồ các mối đe dọa sốt rét (Malaria Threats Map). Công cụ này đã được mở rộng vào năm 2019 nhằm bổ sung một mối đe dọa thứ tư đối với công tác phòng chống và loại trừ sốt rét: các loài véc tơ muỗi xâm lấn. Hiện tại, chủ đề mới này cho thấy được phạm vi địa lý của các báo cáo về việc phát hiện Anophele stephensi; nó có thể được mở rộng hơn nữa cho các loài vectơ xâm lấn khác như đã báo cáo với WHO.
Giảm thiểu và quản lý kháng hóa chất diệt côn trùng
Trong số các cân nhắc khác, việc chọn lựa các biện pháp can thiệp phòng chống véc tơ hiệu quả cần phải dựa vào dữ liệu thường quy và đại diện về tính nhạy cảm của các véc tơ tại chỗ đối với các hóa chất diệt côn trùng được WHO khuyến cáo và thẩm định. Ngoài ra, dữ liệu kháng hóa chất diệt côn trùng là rất quan trọng để đánh giá tác động tiềm tàng của tình trạng kháng hóa chất đối với hiệu quả của công tác phòng chống véc tơ sốt rét, một lĩnh vực vẫn còn hiểu biết kém. Để đáp ứng các nhu cầu về dữ liệu này, các quốc gia và đối tác được khuyến nghị nên thực hiện giám sát kháng hóa chất diệt côn trùng thường xuyên theo các quy trình thử nghiệm giám sát kháng hóa chất diệt côn trùng ở các véc tơ sốt rét do WHO đề xuất, và nên báo cáo, chia sẻ kết quả một cách kịp thời. Để tạo điều kiện thuận lợi cho việc báo cáo, WHO đã phát triển và hỗ trợ triển khai các biểu mẫu dịch báo cáo dữ liệu và các mô-đun DHIS2 để các quốc gia thành viên và các đối tác thực hiện sử dụng.

Hình 4. Báo cáo tình trạng kháng hóa chất diệt côn trùng theo tỷ lệ các điểm được giám sát
giai đoạn 2010-2018
(AFR: châu Phi; AMR: châu Mỹ; EMR: Địa Trung Hải; EUR: châu Phi; n: số lượng; NMP:
chương trình sốt rét quốc gia; SEAR: Đông Nam Á; WHO: Tổ chức Y tế thế giới; WPR: Tây Thái Bình Dương)
Cuối cùng, có khả năng là tình trạng kháng hóa chất diệt côn trùng sẽ làm giảm hiệu quả các biện pháp can thiệp hiện nay. Do vậy, các quốc gia không nên trì hoãn việc phát triển và ứng dụng các chính sách và thực hiện quản lý, giảm thiểu và ngăn chặn kháng hóa chất. Hai lựa chọn kiểm soát véc tơ tương đối mới mà nên được xem như một phần của chiến lược giảm thiểu hay quản lý tình trạng kháng hóa chất là màn pyrethroid-PBO và hóa chất neonicotinoid để phun tồn lưu đã được Tổ chức Y tế thế giới khuyến nghị sử dụng trong hai năm qua; một số các sản phẩm đủ tiêu chuẩn hiện có sẵn, cũng như bản đồ cấp cao để hỗ trợ thảo luận trong nước về triển khai màn pyrethroid PBO. Người ta đang phát triển các biện pháp can thiệp phòng chống véc tơ bổ sung để cung cấp những lựa chọn để quản lý kháng hóa chất diệt côn trùng hoặc để giải quyết lan truyền sốt rét ngoài nhà; một số trong những biện pháp này đã được WHO đánh giá, hỗ trợ bởi nhóm Tư vấn Phòng chống Véc tơ của Tổ chức Y tế thế giới (WHO Vector Control Advisory Group).
Để hướng dẫn quản lý kháng hóa chất, các quốc gia nên xây dựng và thực hiện kế hoạch quốc gia để quản lý và giám sát kháng hóa chất, dựa trên khung của Tổ chức Y tế thế giới cho kế hoạch quốc gia về giám sát và quản lý kháng hóa chất diệt côn trùng ở các véc tơ sốt rét. Trong năm 2018, một số quốc gia đã đạt được tiến bộ trong việc thực hiện các kế hoạch như vậy. Đến cuối năm 2018, tổng cộng có 45 quốc gia đã hoàn thành kế hoạch giám sát và quản lý kháng, và có 36 quốc gia đang trong giai đoạn thực hiện. Đòi hỏi cần phải nỗ lực và hỗ trợ thêm nữa để đảm bảo mỗi quốc gia đều có một kế hoạch như vậy, cập nhật thường xuyên và có các nguồn lực cần thiết để thực hiện kế hoạch đó.