Trong bối cảnh ký sinh trùng sốt rét P. falciparum đa kháng thuốc từ các thuốc cổ điển, có nguồn gốc tự nhiên đến các thuốc mới được tổng hợp từ thành phần artemisinin và dẫn chất của artemisinine, dạng thuốc phối hợp có artemisinine (ACTs_Artemisinine base combination therapies) cũng bị kháng như artesunate plus mefloquine (AM) hay dihydroartemisinin plus piperaquin phosphate (DP) do kháng thành phần artemisinine và thuốc đi kèm (partner drugs) tại một số vùng sốt rét kháng thuốc rất nguy hiểm.
Điều đó, đòi hỏi chúng ta nghiên cứu phát triển thuốc mới như các ứng viên thuốc mới có cơ chế tác động khác nhau đẻ trì hoãn kháng và tăng hiệu quả điều trị. Và điều này rất quan trọng trong lộ trình tiến tới loại trừ sốt rét trên thế giới, khu vực tiểu vùng sông Mekong và Việt Nam nói riêng. Bài viết dưới đây chia sẻ thông tin về một loại thuốc sốt rét mới, đó là Pyramax với sự phối hợp liều giữa artesunate và pyronaridine.
TỔNG QUAN VỀ THUỐC PHỐI HỢP Artesunate+pyronaridine (PYRAMAX®)
Pyramax là biệt dược của một loại thuốc sốt rét phối hợp có thành phần dẫn suất artemisinins (Artesunate+pyronaridine). Thuốc điều trị sốt rét này do hãng dược phẩm Shinpoong, Hàn Quốc sản xuất, thuốc đóng dạng viên nén bao phin, hình tròn, màu cam, có 2 hoạt chất chống sốt rét là pyronaridin tetraphosphat 180 mg và artesunat 60 mg. Ngoài ra, một số thành phần khác đi kèm và tá dược gồm cellulose vi tinh thể M102 (70 mg), crospovidon (65 mg), mannitol (60 mg), magnesi stearat (6 mg), bột talc (15 mg), hypromellose 2910 (20 mg), macrogol 6000 (4 mg), opadry OY-S-23068 cam (20 mg).
Đặc tính dược lực học
Cơ chế tác động
Pyronaridin ức chế sự hình thành b-haematin, do đó ngăn chặn ký sinh trùng sốt rét (KSTSR) trung hoà thành phần haem, một chất gây độc cho ký sinh trùng. Thêm vào đó, qua cách tạo thành phức hợp thuốc-haematin nên pyronaridin sẽ ức chế sự thoái biến phụ thuộc glutathion của haematin và làm tăng ly giải hồng cầu do haematin. Cả 2 tác động này đều làm cho ký sinh trùng chết;
Có vài cơ chế tác động của artemisinin được đề nghị: cơ chế sự hình thành các gốc tự do bên trong không bào thức ăn (food vacuole) của ký sinh trùng và sự ức chế phức hợp Ca-ATPase trên lưới nội chất cơ của ký sinh trùng là được chấp nhận rộng rãi.

Hình 1
Dược lực học
Trong khi các nghiên cứu trên in vitro sử dụng dạng phối hợp pyronaridin và artemisinin được báo cáo cho kết quả khác nhau, các nghiên cứu về hiệu quả trên loài gặm nhấm nhiễm KSTSR do các chủng ký sinh trùng nhạy cảm và đề kháng cho thấy có sự gia tăng hiệu quả điều trị khi sử dụng dạng phối hợp của hai thuốc trên theo tỉ lệ 3:1;
Pyronaridin tác động mạnh trên in vitro đối với các chủng P. falciparum và P. vivax và cả các chủng phân lập từ lâm sàng, bao gồm các chủng kháng thuốc điều trị sốt rét khác. Đối với các hoạt động tại hồng cầu của P. falciparum, thuốc tác động mạnh nhất ở giai đoạn thể nhẫn (ED50; 8.3 nM), tiếp theo là thể phân liệt (ED50; 11.6 nM), sau đó là thể tư dưỡng (ED50; 14.0 nM). Thuốc pyronaridin vẫn duy trì hoạt tính cao đối với các chủng kháng chloroquin. Hiệu quả của pyronaridin trong in vivo đã được báo cáo ở các loài chuột nhắt và linh trưởng nhiễm sốt rét;
Artesunat và chất chuyển hoá chính có hoạt tính dihydroartemisinin (DHA) có tác động mạnh trên thử nghiệm in vitro đối với nhiều chủng P. falciparum và P. vivax, cũng như các chủng phân lập từ lâm sàng, bao gồm các chủng khángcác thuốc trị sốt rét khác. Nồng độ ức chế 50% IC50 để ức chế sự nhân lên của ký sinh trùng được báo cáo thường < 19 nM. Hiệu quả in vivo của artesunat đã được báo cáo ở các loài chuột nhắt, chuột cống và linh trưởng nhiễm sốt rét.
Đề kháng chéo
Các dữ liệu thử nghiệm in vitro từ 181 chủng phân lập từ lâm sàng cho thấy pyronaridin và artesunat có tác động đối với KSTSR P. falciparum và các chủng phân lập được đã kháng chloroquin, quinin, monodesethylamodiaquin, mefloquin hoặc pyrimethamin và nồng độ ức chế 50% (IC50) của cả pyronaridin và artesunat không bị ảnh hưởng bởi sự gia tăng IC50 của chloroquin, monodesethylamodiaquin, mefloquin hoặc pyrimethamin. Trong một nghiên cứu trên in vitro khác tiến hành trên 104 chủng P. falciparum đa kháng thuốc được phân lập từ miền Nam Papua đã cho thấy có sự đề kháng cao với pyronaridin của các chủng kháng chloroquin, amodiaquin (bazơ Mannich kiểu quinolein khác) và piperaquin phosphate;
Không loại trừ khả năng có thể có đề kháng chéo giữa các thuốc điều trị sốt rét;
Sự đề kháng artemisinin đã được báo cáo trên các thử nghiệm in vitro đối với các chủng phân lập từ lâm sàng và sự đề kháng ổn định về mặt di truyền học đã được theo dõi ở động vật thí nghiệm. Tuy nhiên, nói chung sự đề kháng được báo cáo là không ổn định và khó xảy ra ở động vật thí nghiệm, song dữ liệu trên không thể ngoại suy với người trên bệnh sốt rét in vivo. Ngưỡng đề kháng của P. falciparum đối với artesunat vẫn chưa xác định được, song thời gian làm sạch KSTSR kéo dài hơn ở bệnh nhân biết rõ kháng artemisinin đã được ghi nhận gần đây tại vùng sốt rét ở miền tây Campuchia.
Đặc tính dược động học
Không có tương tác về mặt dược động học giữa pyronaridin tetraphosphat và artesunat ở liều khuyến cáo;
Trong các thử nghiệm lâm sàng, nồng độ tối thiểu của pyronaridin và artesunat ở trẻ em nhìn chung là nằm trong khoảng giới hạn tìm thấy được ở người lớn;
Hấp thu:
Sau khi dùng Pyramax® cho người tình nguyện khoẻ mạnh và bệnh nhân sốt rét, nồng độ đỉnh trong huyết tương thường đạt được sau khi uống từ 0,5 đến 1 giờ đối với artesunat, từ 1 đến 2 giờ đối với dihydroartemisinin (DHA) và từ 2 đến 8 giờ đối với pyronaridin;
Sự hấp thu của artesunat và pyronaridin tăng tương ứng đến 34% và 20% khi uống Pyramax® chung với thức ăn nhiều chất béo. Tuy nhiên, kết quả này được đánh giá là không có ý nghĩa lâm sàng và bệnh nhân có thể uống Pyramax ngoài bữa ăn.
Phân bố
Pyronaridin và chất chuyển hoá phân bố rộng rãi khắp các mô, đạt nồng độ cao nhất ở gan, lách, tuyến thượng thận, thận và tuyến giáp của chuột cống. Có bằng chứng cho thấy pyronaridin gắn kết vào melanin ở mắt. Ở chó, khoảng 6% liều pyronaridin lưu lại trong gan 24 tháng sau khi dùng thuốc. Khả năng ngoại suy đối với người chưa được làm rõ nhưng sự đào thải rất chậm của pyronaridin ra khỏi cơ thể ám chỉ một thời gian dài để xem xét rằng khả năng gây độc tính gan của việc dùng thêm pyronaridin sẽ không tích luỹ với bất kỳ ai đã dùng thuốc trước đó;
Pyronaridin gắn kết mạnh với tế bào máu, tỉ lệ nồng độ trong máu toàn phần /huyết tương xấp xỉ 1,5:1. Pyronaridin gắn kết mạnh với protein huyết thanh của người (92-95%) trong thử nghiệm in vitro;
Artesunat và các chất chuyển hoá chủ yếu gắn kết với các mô ở chuột cống có liên quan đến sự hấp thu và bài tiết và nồng độ cao cũng được phát hiện ở lách.
Tỉ lệ gắn protein huyết tương của artesunat và DHA ở mức trung bình (62-93%) và albumin là protein chính gắn kết với DHA trong huyết tương người.

Hình 2
Chuyển hoá
Pyronaridin được chuyển hóa thành nhiều chất chuyển hoá tiềm năng, mặc dù vẫn chưa rõ con đường chuyển hoá chính của thuốc. Ở chuột và chó, pyronaridin được bài tiết chủ yếu dưới dạng không đổi. Các thử nghiệm in vitro cho thấy CYP1A2, CYP2D6 và CYP3A4 có thể có liên quan đến sự chuyển hoá của pyronaridin. Trong thử nghiệm in vitro, pyronaridin ức chế hoạt tính của CYP2D6 ở nồng độ trị liệu;
Artesunat được chuyển hoá rất nhanh bởi các esterase thành chất chuyển hoá có hoạt tính là dihydroartemisinin (DHA). Sau đó, DHA được liên hợp với acid glucuronic qua UGT1A9 và UGT2B7.
Thải trừ
Pyronaridin được thài trừ chậm ra khỏi máu, nửa đời thải trừ là 14-18 ngày đối với thuốc gốc và trung bình 33,5 ngày đối với toàn bộ các chất chuyển hóa của thuốc. Sự thải trừ qua thận của pyronaridin dạng không đổi ở người khoẻ mạnh chưa đến 2%;
Dữ liệu từ nghiên cứu cân bằng khối lượng với pyronaridin ở người tình nguyện khoẻ mạnh cho thấy thải trừ qua phân là con đường thải trừ chính của các chất chuyển hóa. Trong nghiên cứu này, các chất chuyển hóa pyronaridin được thải trừ qua cả phân (47,8%) và nước tiểu (23,7%) sau khi uống pyronaridin ở người khoẻ mạnh. Sự thải trừ diễn ra rất chậm, vẫn tìm thấy trung bình khoảng 71,5% liều dùng (dao động từ 60,3-82,2%) sau 86 ngày dùng thuốc;
Ở bệnh nhân sốt rét không biến chứng, artesunat và DHA được thải trừ khỏi huyết tương với thời gian bán thải loại trừ tương ứng khoảng 0,5 và 0,8 giờ. Hiện chưa có dữ liệu nào về sự đào thải thuốc qua thận ở người.
Bệnh nhân suy gan và suy thận:
Chưa có nghiên cứu về hiệu quả và tính an toàn của Pyramax ở người bị suy gan nặng và/hoặc suy thận nặng;
Người già:
Chưa có nghiên cứu dược động đặc hiệu nào được tiến hành ở người bệnh trên 65 tuổi.

Hình 3
Số liệu an toàn tiền lâm sàng
Các nghiên cứu về độc tính khi lặp lại liều của pyronaridin tetraphosphat phối hợp artesunat (3:1) ở trên chuột và chó cho thấy các ảnh hưởng cũng tương tự như khi dùng riêng lẻ từng thành phần;
Các tác động chủ yếu ở động vật khi dùng những liều pyronaridin tetraphosphat phối hợp artesunat (3:1) cao hơn thường là do sự tích luỹ pyronaridin;
Ở mức độ siêu hiển vi, sau khi lặp lại liều đã ghi nhận được sự tích luỹ lớn các thành phần bạch cầu trong nhiều mô và cơ quan, đôi khi xuất hiện mà không có thay đổi tình trạng viêm (như tuỷ xương hay mắt) nhưng thường liên quan đến những thay đổi tình trạng viêm liên quan đến liều (như tại gan, phổi, lách, túi mật và thận). Cần lưu ý là sau đợt trị liệu 3 ngày duy nhất ở chó thì những thay đổi trong tình trạng viêm được giới hạn ở gan và não

Hình 4
Những thay đổi tình trạng viêm được cho là thứ phát sau những nỗ lực đào thải các chất tích luỹ của cơ thể. Sự gia tăng lượng bạch cầu, chủ yếu là bạch cầu ưa acid và bạch cầu đơn nhân, cũng được cho là những hậu quả của những thay đổi trên. Ở những mô phản ứng mạnh hơn, nhất là tại gan chuột, những thay đổi tình trạng viêm và thoái biến ngày càng nặng hơn theo thời gian do có sự phản ứng lại với sự có mặt kéo dài của thuốc. Vấn đề này có tương quan với sự tăng nồng độ các men transaminase. Không có bằng chứng về sự gia tăng mức độ nặng khi áp dụng một đợt điều trị duy nhất;
Tình trạng viêm quanh mạch máu não đã được ghi nhận trong tất cả các nghiên cứu lặp lại liều ở chó, kể cả nghiên cứu đơn chu kỳ. Tỉ lệ xảy ra tình trạng trên có liên quan đến liều, không liên quan đến những thay đổi hành vi thần kinh đi kèm và không thể hồi phục hoàn toàn.
Tình trạng teo tuyến ức đã được ghi nhận khi dùng pyronaridin và artesunat ở chuột và chó.
Nghiên cứu HERG được tiến hành trên pyronaridin, artesunat và dihydroartemisinin (DHA). Những nghiên cứu này cho thấy artesunat ít khi ảnh hưởng đến chuỗi hERG hiện hành ở nồng độ lên đến 300 μM (115,3 μg/mL). DHA và pyronaridin đều ức chế chuỗi hERG hiện hành với IC50 tương ứng là282,7 μM và 0,65 μM.
Pyronaridin làm đứt gãy gen trong các thử nghiệm trên chromosom in vitro và phép thử u lympho. Các kết quả nghiên cứu in vitro trên các tế bào động vật có vú thống nhất với nhau và có thể liên quan đến khả năng ức chế topoisomerase II của pyronaridin. Pyronaridin cho kết quả âm tính khi tiến hành thử nghiệm vi nhân in vivo trên tuỷ xương chuột và phép thử tổng hợp ADN đột xuất in vivo/ in vitro trên gan chuột. Phép thử sao chổi ADN ở gan chuột cho kết quả âm tính khi nồng độ tại gan gấp 45 lần nồng độ dự kiến ở gan người;

Hình 5
Nói chung, nguy cơ độc tính gen có liên quan đến chu kỳ điều trị dự kiến của pyronaridin không nên lớn hơn so với các liệu pháp hiện hành khác. Artesunat không gây độc tính trên gen khi tiến hành một bộ phép thử chuẩn về tính độc gen. Các nghiên cứu về tính gây ung thư không được tiến hành vì đợt điều trị chỉ giới hạn trong 3 ngày.
Cả pyronaridin tetraphosphat và artesunate đều không ảnh hưởng đến khả năng sinh sản của chuột. Mức độ gây chết phôi thai của artesunat thay đổi theo liều lượng và phác đồ điều trị của người mẹ, và tuỳ thuộc vào các loài thử nghiệm. Thực tế, cũng như hầu hết các dẫn chất artemisinins khác (dihydroartesunat, arteether, artemether), artesunate làm giảm nguyên bào hồng cầu của phôi, dẫn đến thiếu máu nặng;
Ở khỉ đuôi dài, tính gây chết phôi đã được ghi nhận khi dùng artesunat suốt 30 ngày trong lúc đang hình thành các cơ quan, không thấy có sự gây chết phôi khi chỉ dùng thuốc 3 hoặc 7 ngày trong lúc đang hình thành các cơ quan, với liều so sánh gấp 3 lần ở người tính theo mg/kg. Ở chuột và thỏ, artesunat cũng gây chết phôi và độc thai nhi (giảm cân nặng thai và tăng biến dạng xương và nội tạng);
Pyronaridin có thể đi qua nhau thai ở chuột. Ở liều có độc tính, thuốc gây tự huỷ và đào thải thai sớm ở thỏ, làm giảm cân nặng thai ở chuột và thỏ. Chưa có chứng cứ gây quái thai ở cả hai loài.
Các đặc tính khác
Về mặt tương kỵ coh thấy không tương kỵ về mặt bào chế, hạn dùng của thuốc ghi trên nhãn là 24 tháng (2 năm) kể từ ngày sản xuất. Cảnh báo đặc biệt về bảo quản trong bao bì kín, ở nơi khô, tránh ánh sáng, nhiệt độ dưới 30oC. Tính chất và dung lượng của bao bì đóng gói: Pyronaridin tetraphosphat 180mg & Artesunat 60mg /viên. Hộp 10 vỉ nhôm x 9 viên nén bao phim.
TỔNG QUAN VỀ NGHIÊN CỨU THỬ NGHIỆM LÂM SÀNG
Ngoài nước
Nghiên cứu lâm sàng giai đoạn 1
Các nghiên cứu thuần tập với nhiều mục đích trên các nhánh nghiên cứu (arms): liều đơn, đa liều, tương tác thuốc và tương tác với thức ăn đã được tiến hành trên 125 đối tượng nam và nữ khỏe mạnh (SP-C_001-03). Liều 6: 2 mg/ kg, 9: 3 mg/kg, 12: 4 mg/kg và 15:5 mg/kg của pyronaridin- artesunat (PA) đã được thử nghiệm. Tính an toàn và dung nạp đã được đánh giá, không có ảnh hưởng có ý nghĩa về mặt lâm sàng trên điện tâm đồ (ECG) 12 chuyển đạo hoặc các chỉ số xét nghiệm (bao gồm cả chức năng gan và thông số huyết học).
Các biến cố bất lợi (ADRs) thường gặp nhất là rối loạn tiêu hóa, cũng gặp ở nhóm dùng giả dược, nhưng có sự gia tăng tần số với liều dùng. Một đối tượng có tác dụng ngoại ý nghiêm trọng (nôn vọt và đau đầu) dẫn đến phải rút khỏi nghiên cứu và được coi là có thể liên quan đến thuốc nghiên cứu bởi các nghiên cứu viên. Ngoài ra, một đối tượng nữa có nôn, được xem xét không liên quan đến thuốc nghiên cứubởi các nghiên cứu viên, nhưng cũng bị rút khỏi nghiên cứu
Thành phần artesunat ở dạng phối hợp có thời gian bán thải ngắn và thành phần pyronaridin có thời gian bán thải trung bình. Pyronaridin có Tmax là 1,5-4,8 giờ và thời gian bán thải là 6,3-10,3 ngày. AUC của pyronaridin tăng tuyến tính trong khoảng liều 6-15 mg/kg. Thuốc artesunat đã nhanh chóng chuyển thành dihydroartemisinin, chất chuyển hóa có hoạt tính diệt ký sinh trùng.
Tmaxkhoảng 0,8 giờ đối với artesunat và thời gian bán thải của artesunat là 0,5 giờ và 1,5 giờ cho dihydroartemisinin. Diện tích dưới đường cong (AUC) của artesunat và DHA tăng tuyến tính trong khoảng liều 2-4 mg/kg. Các dữ liệu từ nghiên cứu này hỗ trợ quá trình tạo thành sản phẩm thuốc phối hợp điều trị cho bệnh nhân người lớn bị sốt rét không biến chứng.
Nghiên cứu tương đương sinh học
Một nghiên cứu đánh giá tương đương sinh học, bắc cầu, liều duy nhất, ngẫu nhiên (SP-C-009-07) được tiến hành để xác định xem công thức của thuốc thử nghiệm (thuốc sẽ được bán trên thị trường) của PA (180: 60 mg). Thuốc được sử dụng với liều duy nhất 720: 240 mg với thời gian theo dõi 43 ngày, tương đương sinh học được sử dụng để tham khảo cho việc xây dựng công thức thuốc sử dụng trong các nghiên cứu lâm sàng giai đoạn II và giai đoạn III, có 34 người tình nguyện nam và nữ khỏe mạnh đã được sử dụng với liều này. Mục tiêu thứ hai của nghiên cứu lâm sàng là đánh giá sự an toàn của hai công thức ở người tình nguyện khỏe mạnh.
Sự an toàn và dung nạp chung của các công thức thử nghiệm và tham khảo tương đương nhau. Các biến cố bất lợi (ADR) thường gặp nhất là rối loạn tiêu hóa, đặc biệt là buồn nôn, nôn và tăng số lần sau dùng liều thứ hai. Có sự tăng thoáng qua các transaminase mà không có triệu chứng trên lâm sàng đã được quan sát ở ba đối tượng sau liều thứ hai. Sau khi xem xét kỹ lưỡng bởi 3 chuyên gia về độc tính gan của Ủy ban giám sát an toàn độc lập, những phát hiện không làm tăng bất kỳ biến cố nào liên quan đến thuốc điều trị được nghiên cứu chỉ ra tổn thương gan do thuốc.
Không có sự khác biệt của các biến cố bất lợi của hai công thức dùng với liều uống duy nhất 720:240mg PA. Nghiên cứu khẳng định rằng hai công thức với liều uống duy nhất 720:240 mg PA là tương đương sinh học.

Hình 6
Nghiên cứu tương tác thuốc: Primaquin phosphate
Một nghiên cứu giai đoạn 1, nhãn mở, bắc cầu (SP-C-016-11) được tiến hành để mô tả các tương tác dược động học giữa primaquin (PQ) và Pyramax® ở 16 đối tượng người Thái trưởng thành khỏe mạnh cũng như để đánh giá sự an toàn và dung nạp của PQ và Pyramax (PQ+PA) khi uống đồng thời. Đây là sự quan tâm đặc biệt liên quan đến việc dùng PQ điều trị tiệt căn sốt rét Plasmodium vivax. PQ sử dụng đồng thời đã không gây ra bất kỳ thay đổi dược động học trên PP, khi phơi nhiễm với AS và DHA. Tương tự, PA dùng đồng thờikhông gây bất kỳ ảnh hưởng nào trên lâm sàng khi phơi nhiễm PQ và cPQ.
Không có sự khác biệt về tỷ lệ hoặc mức độ nghiêm trọng của các tác dụng ngoại ý (Aes) khi phơi nhiễm với PA, hoặc kết hợp với PQ hoặc đơn thuần. Tương tự, không có ảnh hưởng đếnchức năng gan ở các đối tượng phơi nhiễm lại với PA dù có phối hợp hay không phối hợp với PQ, thì các xét nghiệm chức năng gan vẫn trong giới hạn bình thường. Không có ảnh hưởng trên lâm sàngnhư các dấu hiệusinh tồn, điện tâm đồ và mức metHb.
Nghiên cứu lâm sàng giai đoạn 2
Một nghiên cứu giai đoạn II được thực hiện trên các bệnh nhân nam và nữ nhiễm P. falciparum chưa biến chứng trong độ tuổi từ 15-60 tại 6 quốc gia trong khu vực Đông Nam Á và châu Phi. Tổng số 476 bệnh nhân nhận được một trong ba liều phối hợp PA (6:2 mg/kg, 9:3 mg/kg, 12:4 mg/kg), uống một ngày 1 lần trong 3 ngày liên tiếp để điều trị bệnh sốt rét chưa biến chứng tại bệnh viện-nơi mà nghiên cứu thiết lập. Phản ứng chuỗi polymerase (PCR) được dùng để hiệu chỉnh đánh giá đáp ứng lâm sàng và ký sinh trùng đầy đủ (ACPR) cho mỗi nhánh nghiên cứu phân tích vào ngày D28 như là một kết quả đầu ra, nghiên cứu này đã chứng minh hiệu quả điều trị cao ở tất cả liều điều trị PA: 96.6% (6:2 mg /kg), 99,3% (9:3 mg/kg) 99,3% (12:4 mg/kg). Các kết quả đầu ra ACPR có hiệu chỉnhPCR vào ngày D42 là 95% (6:2 mg/kg), 98% (9:3 mg/kg) 98% (12:4 mg/kg).

Hình 7
Thời gian sạch ký sinh trùng (PCT) và thời gian cắt sốt (FCT) khoảng một ngày sau khi uống liều đầu tiên. Kết quả an toàn bao gồm các chỉ số xét nghiệm, các biến cố bất lợi và điện tâm đồ. Các biến cố bất lợi như dự đoán, bao gồm những chỉ số xét nghiệm có nghĩa ý trên lâm sàng. Kết quả đọc điện tâm đồ tại phòng thí nghiệm trung tâm cho thấy không có thay đổi trên lâm sàng trong suốt thời gian dùng thuốc hoặc đến ngày D28. Hai biến cố bất lợi nghiêm trọng (SAEs) đã được báo cáo (sẩy thai tự nhiên và tăng men gan), 6 biến cố bất lợi được báo cáo từ 4 bệnh nhân.

Hình 8
Nghiên cứu về dược động học của pyronaridin cho thấy Tmax sau liều điều trị thứ ba gần bằng với khoảng 6 giờ sau khi uống liều đầu tiên. Các giá trị Cmax trung bình sau liều thứ ba là 91.8, 156.8 và 277.1 ng/ml tương ứng với liều 6 mg, 9 mg và 12 mg. Thời gian bán thải của pyronaridin khoảng 10-15 ngày. So với kết quả giai đoạn I (bao gồm các nghiên cứu tương đương sinh học so sánh thuốc trên thị trường), các giá trị AUC hơi thấp ở bệnh nhân sốt rét và thời gian bán thải dài hơn, điều này có thể là do một khối lượng lớn hơn pyronaridin được phân phối ở BNSR.
Một nghiên cứu giai đoạn II tăng liều trên bệnh nhân trẻ em với PA đã được tiến hành tại một điểm nghiên cứu tại châu Phi trên bệnh nhân từ 2 đến 14 tuổi nhiễm P. falciparum chưa biến chứng (Ramharter và cs., 2008). Tổng số 59 bệnh nhân nhận được một trong ba liều thuốc phối hợp PA (viên nén 6:2 mg/kg, 9:3 mg/kg, 12:4 mg/kg) hoặc 9:3 mg/kg dạng hạt uống mỗi ngày một lần trong ba ngày.
Bệnh nhân được phân bổ theo các nhóm, mỗi nhóm 15 đối tượng cho mỗi mức liều và được theo dõi hàng tuần trong thời gian 6 tuần với một kết quả đầu ra vào ngày D28: ACPR sau hiệu chỉnh PCR, chỉ tiêu an toàn bao gồm các chỉ số xét nghiệm, các biến cố bất lợi vàđiện tâm đồ đọc tại phòng thí nghiệm trung tâm. Phân tích dược động học được thực hiện trong 4 nhóm. Sinh khả dụng ở trẻ em, tỷ lệ loại bỏ pyronaridine và kết quả phân tích giữa hai dạng thuốc đã được chứng minh là phù hợp.
Mặc dù nghiên cứu có mẫu nhỏ, sự kết hợp thuốc cho thấy một kết quả hứa hẹn về hiệu quả điều trị ở tất cả các liều và với hai dạng sử dụng là 100% ACPR đã hiệu chỉnh PCRvào ngày D28 tại tất cả 4 nhóm điều trị (cho mỗi dạng sử dụng được phân tích). ACPR đã hiệu chỉnh PCR vào ngày D42 là 100% trong nhóm dùng viên kết hợp 6:2 mg/kg và 12:4 mg/kg, 88,9% nhóm 9:3 mg/kg và 92,9% vớinhóm dạng hạt 9:3 mg/kg. Trong tất cả nhóm điều trị, thời gian cắt sốt và sạch ký sinh trùng đều nhanh. Thời gian trung bình sạch ký sinh trùng thay đổi như sau: 16.4 giờ (viên 6:2 mg/kg), 16.1 giờ (viên 9:3 mg /kg), 8.1 giờ (viên 12:4 mg/kg) và 8.3 giờ (9:3 mg/kg).
Xét về độ an toàn, khả năng dung nạp tổng thể của thuốc nghiên cứu là tốt và không có liều giới hạn liên quan đến biến cố bất lợi đã gặp phải. Hai SAEs không liên quan đến thuốc nghiên cứu đã được quan sát. Các biến cố bất lợi thường gặp nhất là viêm mũi họng, nôn và nhức đầu. Biến cố bất lợi thường gặp nhất được coi là liên quan với thuốc nghiên cứu là nôn, được báo cáo trên một bệnh nhân trong mỗi nhóm điều trị.
Nghiên cứu lâm sàng giai đoạn 3
Dựa trên các kết quả nghiên cứu khả quan thu được ở giai đoạn I và II, nghiên cứu giai đoạn III đã được tiến hành. Tổng số 5 nghiên cứu giai đoạn III với PA (180:60 mg dạng viên nén và 60:20 mg dạng hạt) đã được hoàn thành. Các thử nghiệm lâm sàng đã được tiến hành ở các nước có sốt rét lưu hành ở tiểu vùng Sahara châu Phi (Burkina Faso, Congo, Gabon, Gambia, Ghana, Bờ Biển Ngà, Kenya, Mali, Mozambique, Senegal, Tanzania và Uganda) và châu Á (Campuchia, Ấn Độ, Indonesia, Hàn Quốc, Philippines, Thái Lan và Việt Nam). Điều trị giai đoạn máu của KSTSR đã được tiến hành ở bệnh nhân có cân nặng ít nhất là 5 kg đối với P. falciparum, trong khi đối với P. vivax là 20 kg.

Hình 9
Các thử nghiệm lâm sàng được thiết kế theo đúng các hướng dẫn, đảm bảo chất lượng và tuân thủ nghiêm ngặt các tiêu chuẩn của cơ quan quản lý và Tổ chức Y tế Thế giới. Thuốc sốt rét so sánh được chọn là các thuốc tốt nhất trong các khu vực mà các thử nghiệm được thực hiện. Hai nghiên cứu so sánh hiệu lực điều trị và tính an toàn của PA với artemether-lumefantrine (AL) trên bệnh nhân nhiễm P. falciparum không biến chứng 1 nghiên cứuđược tiến hành trên bệnh nhân ≤ 12 tuổi (SP-C-007-07), một nghiên cứu khác tiến hành trên bệnh nhân từ 3-60 tuổi(SP-C-005-06).
Nghiên cứu thứ 3 (SP-C-004-06) thực hiện so sánh hiệu lực điều trị và tính an toàn của PA với phối hợp rời mefloquin (MQ) + AS trên các bệnh nhân từ 3-60 tuổi nhiễm sốt rét do P. falciparum chưa biến chứng. Các nghiên cứu khác đã hoàn thành như (SP-C-006-06 và SP-C-008-07) so sánh hiệu lực điều trị và tính an toàn của PA với chloroquin trên bệnh nhân từ 3-60 tuổi nhiễm sốt rét do P. vivax chưa biến chứng. Nghiên cứu SP-C-008- 07, được thực hiện tại Hàn Quốc là một nghiên cứu nhỏ với cỡ mẫu là 30 bệnh nhân (15 bệnh nhân điều trị bằng PA và 15 bệnh nhân điều trị chloroquin).
Tất cả nghiên cứu trong 5 nhánh nghiên cứu đã hoàn thành giai đoạn III tuân thủ đầy đủ các quy định ban đầu, các thuốc được lựa chọn để so sánh (AL, MQ + AS hoặc chloroquin) được xem là thuốc chống sốt rét có hiệu quả và có dung nạp tốt là thuốc được dùng điều trị thường xuyên, thuốc điều trị ưu tiên trong các khu vực địa lý cụ thể. Bốn trong số các nghiên cứu hoàn thành giai đoạn III là các nghiên cứu so sánh có hiệu quả tương đương (SP-C-004-06, SP-C-005-06, SP-C-006-06 và SP -C-008-07), trong khi nghiên cứu đánh giá PA so với (AL) là một phân tích thứ cấp trong một nghiên cứu (SP-C- 007-07). Đối với PA, liều thực tế trong 3 ngày điều trị từ 7,2:2,4 mg/kg đến 13.8:4.6 mg/kg, đã được chứng minh là có hiệu lực điều trị và an toàn trong các thử nghiệm lâm sàng giai đoạn I và II. Liều lượng được dựa trên trọng lượng cơ thể.
Liều đề nghị cho thấy hiệu quả điều trị 3 ngày của PA đạt được tỷ lệ điều trị khỏi bền vững > 90% trong 28 ngày đối với bệnh sốt rét do P. falciparum. Đầu ra chính trong nghiên cứu giai đoạn III là ACPR có hiệu chỉnh PCR vào ngày 28 trong đánh giá hiệu quả của quần thể. Trong nghiên cứu giai đoạn III trên bệnh nhân sốt rét do P. falciparum ở trẻ em, các phân tích chính đánh giá ACPR có hiệu chỉnh PCR trong nhóm bệnh nhân dùng PA có ý nghĩa thống kê > 90%. Tính tương đương của PA trong nghiên cứu so sánh cũng đã được chứng minh trong quần thể vào ngày D28.Hiệu quả điều trị cao cũng được quan sát trong nhóm dùng PA ở kết quả ngày D42.

Hình 10
Trong các nghiên cứu trên bệnh nhân nhiễm P. falciparum, các bệnh nhân người lớn được thu nhận vào nghiên cứu có tỷ lệ điều trị khỏi được được hiệu chỉnh PCR ở nhóm PA là 94,7% và 97,7%, tương ứng ở ngày D42 trong giá trị trị hiệu quả của quần thể nghiên cứu 42 ngày. Trong nghiên cứu trên bệnh nhân trẻ em, tỷ lệ điều trị khỏi có hiệu chỉnh PCR ở nhóm điều trị PA là 93,5% đến ngày D42 trong giá trị hiệu quả của quần thể nghiên cứu 42 ngày. Sự tương đương của PA so với chloroquin đã được chứng minh mối liên quan với tỷ lệ điều trị khỏi chưa hiệu chỉnh vào ngày 14. Tỷ lệ điều trị chưa hiệu chỉnh cao (95,5%) được báo cáo đến ngày 42 trong nhóm PA; nhóm dùng chloroquin là 91,1% .
Thử nghiệm giai đoạn III cho thấy tính an toàn của PA là tương đương với các thuốc so sánh với các kết quả trên lâm sàng của bệnh nhân mắc sốt rét không biến chứng. Không có đối tượng nghiên cứu nào bị tử vong trong các nghiên cứu giai đoạn III. Biến cố bất lợi phổ biến nhất được báo cáo (> 1/100 đến <1/10) là nhức đầu, tăng bạch cầu ái toan (BCAT), giảm bạch cầu, thiếu máu, tăng số lượng tiểu cầu, nôn, đau bụng, nhịp tim chậm, tăng men gan và hạ đường huyết.

Hình 11
Các biến cố bất lợi cần được điều trị được báo cáo ≥ 5.0% số bệnh nhân trong các nghiên cứu giai đoạn III là nhức đầu (10,6%) và ho (5,9%). Trong nghiên cứu giai đoạn III, tỷ lệ phần trăm của các đối tượng có ALT cần điều trị cấp cứu hoặc AST ³ 3, ³ 5, hoặc ³ 10 lần giá trị bình thường lớn hơn ở nhóm PA so với các nhóm điều trị khác. Tỷ lệ phần trăm của các đối tượng cần điều trị khẩn cấp có phosphatase kiềm hoặc bilirubin toàn phần ³ 3, ³ 5, hoặc ³ 10 lần là tương tự giữa các nhóm điều trị. Tỷ lệ này lần lượt là 1,44% của nhóm điều trị PA, 0.33% artemether/lumefantrine, 24% mefloquine + artesunate và 0,41% bệnh nhân điều trị chloroquin có ALT > 5 lần giá trị bình thường.
Ngoài 5 nghiên cứu giai đoạn III đã mô tả ở trên, một nghiên cứu so sánh, ngẫu nhiên, đa trung tâm, nhãn mở song song 3 nhóm nghiên cứu đang được tiến hành để đánh giá sự an toàn và hiệu lực điều trị của liều nhắc lại của PA, hoặc DHA-PQ so với AL hay ASAQ trong khoảng thời gian 2 năm ở trẻ em và người trưởng thành nhiễm Plasmodium không biến chứng (SP-C-013-11). PA được so sánh với AL hoặc ASAQ tùy thuộc vào các điềm nghiên cứu và thuốc điều trị ưu tiên.
Phân tích tạm thời được thực hiện để đánh giá sự an toàn của liều PA lặp lại. Nhánh nghiên cứu bao gồm 1.015 đối tượng được điều trị bằng PAtrong số đó 316 đã được điều trị với PA cho ít nhất 2 lần nhiễm sốt rét. Số liệu cho thấy PA được dung nạp tốt, tính an toàn và hiệu lực điều trị của thuốc trong lần điều trị sốt rét đầu tiên được duy trì trong các lần điều trị sốt rét tiếp theo. Đặc biệt là nguy cơ ngộ độc gan không lớn hơn ở lần điều trị PA tiếp theo so với lần điều trị đầu tiên. Nghiên cứu này sẽ được báo cáo chính thức vào cuối năm 2016.

Hình 12
Ba nghiên cứu khác đang được tiến hành. Nghiên cứu đánh giá thuốc uống kết hợp PA với primaquine (PQ) trên người lớn nhiễm sốt rét do P. vivax. Nghiên cứu thứ hai đã được thực hiện ở Campuchia nơi có P. falciparum kháng thuốc. Nghiên cứu thứ hai này đang trong giai đoạn báo cáo kết quả. Một nghiên cứu ngẫu nhiên về hiệu lực điều trị khi kết hợp với DHA-PPQ hoặc PA để điều trị triệt căn sốt rét do P. vivax kháng chloroquin được tiến hành ở Indonesia (SP-C-018-13).
Tổng số 180 bệnh nhân nhiễm P. vivax có G6PD bình thường được điều trị, thuốc được đánh giá an toàn, khả năng dung nạp tốt và hiệu quả điều trị cao.
Tất cả bệnh nhân sạch KSTSR trước ngày thứ 4 và không tái phát trước ngày D39, khẳng định hiệu lực điều trị tốt đối với ký sinh trùng thể vô tính trong máu. Tái phát xảy ra trong số 9 ca (15%) và 7 ca (12%) đối tượng nghiên cứu tương ứng ở nhóm dùng PA hoặc DHA-PPQ, sử dụng thuật toán ước tính tỷ lệ hiệu quả điều trị chống tái phát là 94% và 95%. Không có biến cố bất lợi nào liên quan đến thuốc điều trị được báo cáo.
Ba biến cố bất lợi không liên quan đã được báo cáo bao gồm chấn thương đầu, sốt thương hàn vàsỏi thận. Không có xét nghiệm chức năng gan bất thường nào được báo cáo trong nhóm PA.
Cho đến nay Pyramax đã được cấp phép lưu hành tại ít nhất 15 quốc gia và vùng lãnh thổ:
TT | Tên nước, vùng lãnh thổ | Ngày cấp phép |
1 | Hàn Quốc | 17/08/2011 |
2 | Cộng đồng chungchâu Âu | 16/02/2012 |
3 | Việt Nam | 27/12/2013 |
4 | CămPhu Chia | 22/08/2014 |
5 | Ivory Coast | 27/08/2014 |
6 | Myanmar | 04/09/2014 |
7 | Burkina Faso | 22/09/2014 |
8 | Guinea | 30/01/2015 |
9 | Chad | 12/02/2015 |
10 | Mozambique | 18/03/2015 |
11 | Gabon | 30/03/2015 |
12 | RCA | 12/06/2015 |
13 | Congo | 30/10/2015 |
14 | Niger | 25/11/2015 |
15 | Benim | 29/02/2016 |
Tại Việt Nam, ngày 27/12/2013, Cục Quản lý Dược, Bộ Y tế đã cấp giấy phép lưu hành sản phẩm. Tuy nhiên do cấp lần đầu lên giấy phép chỉ có hạn lưu hành 2 năm. Hiện nay hãng dược phẩm Shinpoong đang làm các thủ tục để xin gia hạn sản phẩm.
Trong nước:
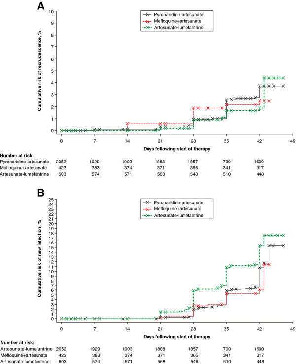
Năm 2008, Việt Nam tham gia vào nghiên cứu giai đoạn 3, đa trung tâm, nhãn mở, có hiệu quả tương đương giữa Pyramax(pyronaridin-artesunat) với artesunat + mefloquin. Nghiên cứu được triển khai tại xã Đăk Ơ, Bù Gia Mập, tỉnh Bình Phước do Trần QuangBính và cộng sự tại Bệnh viện Chợ Rẫy phụ trách; tại xã Xy, Hướng Hóa, Quảng Trị do Nông Thị Tiến và cộng sự của Viện Sốt rét-Ký sinh trùng-Côn trùng Trung ương tiến hành.

Hình 13
Vì nghiêncứu đa trung tâm lên không có công bố riêng tại Việt Nam. Toàn nghiên cứu đã tuyển chọn được 1.271 bệnh nhân từ 3 đến 60 tuổi vào nghiên cứu, trong đó bệnh nhântại châu Á81,3% vàtại châu Phi 18,7%. Tất cả các bệnh nhân xác định nhiễm đơn thuần P. falciparum bằng phương pháp kính hiển vi. Bệnh nhân chọn ngẫu nhiên vào nhóm uốngpyramax viên phối hợp có 180 mg pyronaridin và 60 mg artesunat (PA) hoặc uống 250 mg mefloquin với 100 mg artesunat (MA). Liều tính theo trong lượng cơ thể, uống ngày 1 lần x 3 ngày. Kết quả cho thấy:ACPR có hiệu chỉnh PCR đến D28của nhóm PA là 99,2% (743/749 bệnh nhân)và nhómMA là 97,8% (360/368 bệnh nhân).ACPRđến D42 của PA là 83,1% (705/848 bệnh nhân và nhóm uống MA là 83,9% (355/423 bệnh nhân).
Về tính an toàn: tỷ lệ bệnh nhân có ít nhất 1biến cố bất lợi (AE) ở nhómPA là 45,9% và nhóm MA là 44,9%. Trên 5% bệnh nhân có đau đầu vàđau cơ ở nhóm uống PA; đau đầu và hoa mắt, chóng mặt ở nhóm uống MA. Không có trường hợp tử vong nào xảy ra trongthời gian nghiên cứu. Có 7 tác dụng ngoại ý nghiêm trọng (SAE)xảy ra ở trên 6 bệnh nhân (0,7%) ở nhóm uống PA và 3 SAE ở 3 bệnh nhân (0,7%) nhóm uống MA. Có 6 SAE gặp ở 5 bệnh nhân (0,6%) phải rút khỏi nghiên cứu (4 ca có nôn và 1 có cả buồn nôn và nôn) ở nhóm uống PA; nhóm uống MA có 4 SAE gặp ở 4 bệnh nhân (0,9%)trong đó 3 bệnh nhân có nôn và 1 bị sốt rét thể não phải rút khỏi nghiên cứu.
Trong cả 2 nhóm nghiên cứu, không có thay đổi về huyết học có ý nghĩa lâm sàng và sự thay đổi không có sự khác biệtgiữa các nhóm điều trị. Về sinh hóa: Nhóm uống PA có 15 bệnh nhân có tăng ALTnhiều hơn 5 lầngiới hạn trên của giá trị bình thường). Trong số 15 người này có 2 bệnh nhân nam người lớn có men gan ALT tăng gấp 3 lần so với ngưỡng và bilirubin toàn phần tăng gấp 2 lần so với ngưỡng (trong đó 1 bệnh nhân ngay ngày đầu (trước liều) đã có ALT tăng gấp 2 lần so với ngưỡng bình thường. Không có bệnh nhân nào có các dấu hiệu hoặc triệu chứng của rối loạn chức năng gan. Các chỉ số sinh hóa khác ở 2 nhóm uống PA và MA như nhau.

Hình 14
Về điện tâm đồ, có 02 bệnh nhân (0,7%) ở nhóm uống PA và 3 bệnh nhân ở nhóm uống MA (0,7%) có bất thường trên song điện tâm đồ. Tất cả các bất thường đều nhẹ và trở về bình thường trước khi hoàn thành nghiên cứu. Trong số những bệnh nhân này có 1 bệnh nhân (0,1%) có QT kéo dài ở nhóm uống PA và 3 bệnh nhân(0,7%) ở nhóm uống MA, nhưng không có bệnh nhân nào có khoảng QT vượt quá 480 msec.
Năm 2017, được sự tài trợ của Tổ chức Y tế thế giới cho thử nghiệm lâm sàng đánh giá hiệu lực và tính an toàn của thuốc pyronaridine-artesunate (Pyramax) tại một số tỉnh thành có kháng thuốc và nghi ngờ kháng thuốc tại Việt Nam do Viện Sốt rét-KST-CT TƯ, Viện Sốt rét-KST-CT Quy Nhơn và Viện Sốt rét-KST-CT TP. Hồ Chí Minh đồng thực hiện. Đặc biệt các thử nghiệm đang triển khai tại các tỉnh miền Trung-Tây Nguyên và Bình Phước để đánh giá hiệu lực thuốc để có thể đưa ra như một ứng viên chống kháng thuốc. Kết quả sơ bộ hiên tại cho thấy qua nghiên cứu thuốc có hiệu lực cao và tỷ lệ tồn tại KSTSR ngày D3 thấp, chưa phân tích đầy đủ, dự kiến đến cuối năm 2017 sẽ cho ra kết quả đáng khích lệ.