Định hướng thực hành ở một số phương pháp và thuật toán có thể ứng dụng trong phân tích dữ liệu ban đầu, khoảng tin cậy cho một tỷ lệ được mô tả và test t được giới thiệu. Test x2 trình bày dài hơn và test fisher nhận được sự chú ý. Cuối cùng là một số quan niệm nhầm lẫn phổ biến về test ý nghĩa được bàn luận.
Theo các tác giả, đây không phải là sách thống kê vì đã có một lượng lớn sách thống kê y học. Tuy nhiên, cách tính toán thống kê đơn giản thường dùng trong dịch tễ học và hầu như có thể thực hiện được trên máy tính bỏ túi, cho cảm giác tự tin để tính một khoảng tin cậy của dữ liệu đã thực hiện hay kiểm tra cách tính toán ở một số bài báo đã xuất bản. Chương này chỉ chứa một số thuật toán thống kê thường được thực hiện bằng tay. Hai thuật toán đã được giới thiệu trong các chương trước, chủ yếu là tính 95% khoảng tin cậy cho nguy cơ tương đối gần đúng (odd ratios) và nguy cơ tương đối (relative risks), được thực hiện nhanh chóng và cho kết quả khoảng giới hạn có thể có của giá trị ORs và RRs, mặc dầu đối với một số nghiên cứu thực tiễn việc đòi hỏi tất cả giá trị ở các ô trong bảng tiếp liên 2×2 phải có một giá trị ≥ 10 không phải lúc nào cũng được chấp thuận. Một Vấn vđề khác không phải không phổ biến trong dịch tễ học là ước tính khoảng tin cậy cho một tỷ lệ.
Khoảng tin cậy cho một tỷ lệ
Thông thường người ta muốn ước tính tỷ lệ của một quần thể có một số đặc trưng như tỷ lệ người có kháng thể với bệnh A hay tỷ lệcủa quần thể người thực hiện một test với bệnh B. Rất hiếm khi tiến hành test hay hỏi được mọi người, vì vậy chỉ có thể thực hiện điều này bằng cách thu thập một mẫu ngẫu nhiên. Giả sử mẫu này là ngẫu nhiên thực sự, không có sai số do chọn lựa, muốn biết làm thế nào tỷ lệ được đo lường trong mẫu liên quan đến tỷ lệ hiện mắc trong quần thể. Đây là lý do tương tự, chính xác khi chúng ta đề cập đến khoảng tin cậy cho Ors (tiếp theo chương 4). Nếu chỉ muốn thực hiện một trình bày về mẫu nghiên cứu thì không cần thiết khoảng tin cậy. Nếu 31 đối tượngtrong 100 thử nghiệm có kháng thể với bệnh A, thì tỷ lệ huyết thanh học trong nhóm này là 31%. Tuy nhiên, đây là một tình huống rất hiếm và điều mong muốn là các kết quả có thể áp dụng đến một số quần thể lớn hơn. Cảm giác trực quan về kích thướcmẫulà quan trọng, nếu 3 trong số mẫu 10 người có kháng thể với viêm gan A thì ngẫu nhiên (chance) có thể giữmột vai trò quan trọng, tỷ lệ huyết thanh thực trong quần thể có thể dễ dàng tương đương với 20 hay 40% và có thể ước tính khoảng 30%. Tuy nhiên, nếu thực hiện mẫu 100 đối tượng trong một quần thể lớn hơn và thấy 31 mẫu huyết thanh dương tính thì cảm giác bảo đảm hơn về ước tính của khoảng 30%, thậm chí lớn hơn thế nếu 308 trong số 1.000 mẫu có kháng thể. Mẫu càng lớn thì càng ít có ảnh hưởng khi đưa vào cỡ mẫu nghiên cứu ngẫu nhiên một cặp “quá nhiều” hay “quá ít” huyết thanh dương tính. Khoảng tin cậy cho một quần thể được tính toán theo các bước như sau:
1.Viết số như một tỷ lệ thay vì phần trăm, đối với mẫu cuối trong đoạn văn trên tỷ lệ là 0.308(308 trong số 1.000 người được thử test)
2.Gọi tỷ lệ này là p, gọi tổng số đối tượng nghiên cứu là N.
3.Tính số p× (1-p)/N. Ví dụ: 0,308 × 0,692/1000.
4.Tính căn bình phương của số này:
5.Tỷ lệ này (0.015) được gọi là sai số chuẩn của một tỷ lệ
6.Ngay khi nhận được yếu tố sai số trong các chương trước, bây giờ nhân sai số chuẩn với 2 và một lần nữa đây là cách thống kê để tạo ra một khoảng tin cậy 95%
2× 0,015 = 0,030
7.Tuy nhiên, lúc này không chia và nhân với số cuối cùng mà thay vào đó trừ và cộng nó với tỷ lệ gốc (0,308 trong ví dụ)
- Cận dưới : 0,308-0,030= 0,278.
- Cận trên : 0,308 +0,030 = 0,338.
8.Diễn giải: giả dụ đã thực hiện một mẫu ngẫu nhiên thực sự (không sai số) của 1.000 người trong một quần thể lớn hơn nhiều. Trong ví dụ này thấy 308 đối tượng có dương tính với kháng thể của viêm gan A, có thể chứng tỏ rằng với xác suất 95% tỷ lệ huyết thanh học dương tính trong quần thể phải từ 27,8% và 33,8%.
Quan sát mang tính dự báo về sai số: nếu mẫu bị sai theo một cách thức nào đó thì tỷ lệ tính toán sẽ bị sai và khoảng tin cậy sẽ không còn có ý nghĩa. Nếu hỏi 1.000 người đã được xét nghiệm chẩn đoán HIV, nhưng một số người trong đó chỉ trả lời rằng họ chưa được xét nghiệm (mặc dù đã xét nghiệm) thì tỷ lệ tính toán trong tổng số quần thể nghiên cứu là quá thấp và thực tế này tình cờ đã điều chỉnh bằng cách thêm vào khoảng tin cậy một con số nào đó. Khoảng tin cậy chỉ cho biết ảnh hưởng có thể có của sự ngẫu nhiên (hay sai số chọn mẫu), không thể mong đợi để hiểu được ý tưởng của con người.
Test có ý nghĩa
Ngày càng có nhiều ghi nhận hơn bởi cácnhà nghiên cứu y học và thống kê rằng cách thông tin tốt nhất để chứng tỏ ý nghĩa thống kê của một giá trị được cho cũng là cách trình bày khoảng tin cậy. Trong các ví dụ về ORs và RRs ở các chương trước, hai điều hiển nhiên từ khoảng tin cậy
1.Nếu khoảng tin cậy 95% không bao gồm 1 (toàn bộ khoảng hoặc >1 hoặc >1) thì biết rằng có một xác suất tốt mà yếu tố nguy cơ đã nghiên cứu là thực sự liên quan đến bệnh và đây không chỉ là một phát hiện ngẫu nhiên.
2.Độ lớn của khoảng tin cậy cho biết OR hay RR được đo lường chính xác trong nghiên cứu như thế nào, nếu khoảng tin cậy 95%cho một RR từ 1,3-15 thì không thực sự biết đây là một yếu tố nguy cơ rất quan trọng với bệnh (RR cao) hay một yếu tố nguy cơ tương đối nhẹ.
Tuy nhiên, nhiều bài báo y khoa vẫn sử dụng test ý nghĩa thống kê cho những mục đích này và có nhiều ví dụ thực khi khoảng tin cậy khó khăn để tính toán thì giá trị ý nghĩa có thể đạt được khá dễ dàng. Câu hỏi phổ biến nhất đằng sau tất cả test ý nghĩa là khả năng chỉ quan sát một sự khác nhau giữa 2 nhóm bệnh: một nhóm có (ví dụ giá trị haemoglobin cao hơn, số phụ nữ cao hơn, tỷ lệ tấn công thấp hơn, thời gian ủ bệnh dài hơn…). Có một điều gì đó xảy ra ngẫu nhiên hay chỉ ra một sự khác biệt thực sự giữa hai nhóm ?
Lý thuyết thống kê được trình bày dưới đây cố gắng trả lời câu hỏi này, một phần mang tính khá phức tạp và thường các test ý nghĩa trong tình huống đời sống thực sự không chắc rằng các giả dụ lý thuyết cần đáp ứng các test như thế có thể đảm bảo. Hơn nữa, tồn tại triết lý liên quan đến giá trị xác suất thực sựcó ý nghĩa như thế nào trong tình huống này. Mặc dù cố gắng đi từ những bàn luận như thế, nhưng chỉ có thể chỉ ra rằng với bất kỳ biến số đo được trên một nhóm người, có một vài loại thay đổi ngẫu nhiên giữa các đối tượng. Câu hỏi trên trở nên có sự khác nhau được quan sát giữa các nhóm chỉ do sự biến thiên này, vì thế mà người có giá trị cao xảy ra kết thúc trong một nhóm và người có giá trị thấp trong nhóm khác ? Hay điều không chắc rằng tính ngẫu nhiên có thể được chia một nhóm đồng nhất thành hai nhóm phân tích bên ngoài ? Có 2 tình huống khác nhau cơ bản là:
1.Đo lường giá trị của biến liên tục cho tất cả các thành viên trong 2 nhóm, có thể là chiếu cao, giá trị haemoglobin, tuổi, nhiệt độ của họ… Tất cả các biến số này có cái chung về nguyên lý bất kỳ giá trị nào trên đường liên tục, không hoàn toàn thực sự vì có khả năng ghi nhận toàn bộ chiều cao theo centimetre hay nhiệt độ chỉ cách nhau 0,10C nhưng về lý thuyết chúng là các biến liên tục. Với mỗi một trong 2 nhóm ta có thể tính toán giá trí trung bình rồi so sánh chúng.
2.Người được phân nhóm chia thành 2 loại như là phơi nhiễm/không phơi nhiễm, ốm/khỏe, nam/nữ, già hơn/trẻ hơn…; sau đó nhìn vào 2 nhóm bệnh nhân để thấy nếu có bất kỳ sự khác nhau nào trong tỷ lệ phơi nhiễm/không phơi nhiễm, ốm/khỏe, nam/nữ… giữa chúng.
Test t
Trong tình huống đầu tiên ở trên với các dữ liệu liên tục, người ta sử dụng test t (Student’s) để quyết định sự khác biệt có ý nghĩa thống kê giữa 2 nhóm. Các chương trình thống kê cơ bản nhất cho máy tính cá nhân có thể thực hiện điều này rất đơn giản: chỉ nhập vào các giá trị cho một của các nhóm bệnh vào trong một cột và các giá trị cho nhóm khác vào cột kế tiếp và chương trình đưa ra xác suất (giá trị p) mà tính ngẫu nhiên riêng lẻ gây ra một sự khác biệtbằng hoặc lớn hơn giá trị quan sát thực sự. Giá trị p càng nhỏ thì càng ít có khả năng đây là một sự ngẫu nhiên và giá trị p càng lớn thì càng nhiều khả năng có sự khác nhau thực sự giữa 2 nhóm.
Cách thực hiện một test t
1. Gọi các nhóm là 1 và 2. Số lượng các đối tượng trong các nhóm là n1 và n2
2. Giá trị trung bình cho nhóm thứ nhất (ví dụ giá trị của haemoglobin) được gọi là m1, và m2 cho nhóm thứ 2.
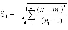
3. Tính độ lệch chuẩn của các giá trị trong 2 nhóm riêng lẻ: với nhóm thứ nhất, trừ m1 từ mỗi một giá trị, bình phương sự khác nhau này và cộng tất cả các bình phương. Rồi chia số này cho (n-1) và thực hiện căn bậc hai của số này. Kết quả cuối cùng là độ lệch chuẩn của các giá trị trong nhóm 1, được gọi làS1. Công thức toán học:
Trong đó xi là tất cả các cá thể đo lường của nhóm. Rồi tính S2 cũng theo cách như vậy.
Độ lệch chuẩn là một cách mô tả các giá trị phân bố chụm như thế nào trong một nhóm xung quanh giá trị trung bình. Độ lệch chuẩn thấp nghĩa là tất cả các giá trị phân bố chụm lại gần giá trị trung bình. Độ lệch chuẩn cao cho biết các giá trị đo được phân tán xa giá trị trung bình.
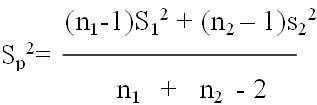
4. Người ta cũng cần kết hợp độ lệch chuẩn cho cả 2 nhóm, được gọi là Sp và được tính như sau
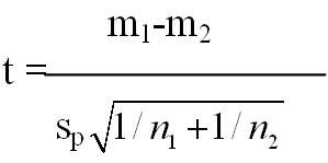
5. Bài toán cuối cùng chúng ta muốn được gọi là t, và được xác định như sau :
6. Giá trị t này rồi được thực hiện theo một bảng đã làm sẵn của ts, và hầu hết được tìm thấy ở phần cuối trong hầu hết các sách thống kê. Mức ý nghĩa thực sự khác nhau vớicác kích thước của 2 nhóm nhưng như quy luật chung của ngón tay cái, một giá trị t trên 2 nghĩa là có 5% ngẫu nhiên hay ít hơnrằng sự khác biệt này giữa 2 giá trị trung bình sẽ nảy sinh chỉ bởi ngẫu nhiên.
Người ta thấy rằng tiến hành một test t trở nên khá khó khăn ngay cả với những mẫu tương đối nhỏ phải sử dụng máy vi tính để làm và những chỉ dẫn ở trên được bao gồm hơn để chứng minh làm thế nào nó thực sự đang được thực hiện. Tuy nhiên, có 2 điều hiển nhiên xảy ra: Giá trị t càng cao thì xác suất mà sự khác biệt quan sát được giữa giá trị trung bình của hai nhóm là một kết quả ngẫu nhiên càng nhỏ. Từ công thức cuối cùng có thể thấy rằng sự khác nhau giữa các trị trung bình càng lớn thì giá trị t sẽ càng cao. Thêm nữa, đo lường kết hợp sự lan tỏa xung quanh giá trị trung bình nhỏ hơn (Sp) thì giá trị t sẽ cao hơn. Một sự khác nhau nhỏ giữa 2 nhóm có thể khá ý nghĩa nếu độ lệch chuẩn là thấp, trái lại một sự khác nhau lớn giữa 2 nhóm với độ lệch chuẩn cao có thể chỉ là phát hiện ngẫu nhiên. Có một giới hạn khi sử dụng test t : nếu độ lệch chuẩn của 2 nhóm rất khác nhau (một là lớn hơn hai lần cái khác) thì test t phải không được thực hiện như đã mô tả ở trên. Tuy nhiên chương trình thống kê yêu thích có thể có 1 test giá trị đôi khi, hay tư vấn một nhà thống kê học bởi vì sự lan tỏa rất khác nhau trong 2 nhóm có nghĩa là phải quan tâm hơn khi so sánh hai trị trung bình.
Test Chi 2
Ở phần 2 của 2 ví dụ trên, chúng ta không có đo lường một số biến liên tục của 2 nhóm mà thay vì các thành viên của người thuộc các loại khác nhau. Điều này trở nên hơi lạ để nói về “giới tính trung bình” trong một nhóm bệnh nhân. Tình huống cơ bản là bảng 2 × 2 quen thuộc, mà có thể đây là một ví dụ:
| Tiêm chủng | Không tiêm chủng | |
Ốm | 10 | 40 | 50 |
Khoẻ | 80 | 20 | 100 |
| 90 | 60 | 150 |
Tuy nhiên bảng 2 × 2 dễ dàng mở rộng tới một bảng có nhiều cột hơn và hay nhiều hàng hơn nếu có nhiều loại phơi nhiễm hay kết quả hay cả hai. Trong tình huống này các đối tượng chỉ có thể thuộc hai loại: tiêm chủng hay không tiêm chủng hoặc ốm hay khỏe.Cách này không có ý nghĩa khi cho một giá trị sức khỏe trung bình trong nhóm được tiêm chủng, hay một tình trạng tiêm chủng trung bình trong nhóm khỏe mạnh. Loại dữ liệu này như thế là khá khác với test t ở trên và thường được gọi là biến phân hạng ngược với biến liên tục.
Trong chương 4, chúng ta đã thấy cách tính một OR đối với 1 bảng như thế và khoảng tin cậy với giá trị này. Nếu chúng ta muốn thực hiện một test có ý nghĩa thống kê thay vì câu hỏi để hỏi là: loại xác suất gì mà 150 đối tượng nghiên cứu phân chia cách này thành ốm và khỏe mạnh chỉ bởi tính ngẫu nhiên ? Một xác suất rất thấp của một sự ngẫu nhiên như thế sẽ làm gia tăng trọng lượng đến giả thiết của chúng ta là vaccin có hiệu quả. Cách giải thích như sau: có 50 người bị ốm và 100 người vẫn còn khỏe mạnh. Nếu vaccin là không có hiệu quả toàn bộ, chúng ta sẽ giả định rằng nó chẳng là vấn đề gì dù một đối tượng đã tiêm chủng hay không. Bởi vì 1/3 trong tổng số bị ốm sẽ là tỷ lệ mong muốn trong mỗi nhóm cá thể. Trong nhóm 90 người được chủng vaccin, chúng ta mong muốn 30 người bị ốm và trong nhóm không chủng vaccin sẽ là 60, 20. Bảng kỳ vọng 2 × 2 nếu vaccin không có tác dụng chút nào sẽ là:
Bảng kỳ vọng | Tiêm chủng | không tiêm chủng | |
Ốm | 30 | 20 | 50 |
Khoẻ | 60 | 40 | 100 |
| 90 | 60 | 150 |
Cách chung để tính giá trị mong muốn cho một ô trong bảng 2 × 2 (hay 3 × 3, hay 5 × 3…) là nhân tổng cột ở đáy của cột tương ứng với tổng số hàng ở bên phải, rồi chia số này với tổng ở góc bên phải thấp hơn. Đối với ô đầu tiên trong ví dụ sẽ là 90 × 50/150 =30 như ở trên (trong tính toán này, người ta thường nhận phân số của người trong các ô của bảng kỳ vọng mà không ảnh hưởng chút nào đến kết quả phân tích). Bây giờ chúng ta so sánh các số trong bảng kỳ vọng với các số thực sựđể thấy rằng chúng thực sự khác nhau. Một cách để thực hiện sự khác nhau giữa các số trong các ô tương ứng (10-30 đối với ô thứ nhất, 40-20 đối với ô thứ hai…). Nếu vaccin không có hiệu quả, chúng ta mong muốn những sự khác nhau này rất nhỏ và sự khác nhau càng lớn thì kết quả nghiên cứu của chúng ta dẫn đến từ những gì mong muốn bởi sự phân bổ ngẫu nhiên các ca bệnh càng xa. Test x2 bây giờ bao gồm bình phương của tất cả sự khác nhau này rồi mỗi bình phương cho giá trị mong muốn (từ bảng trên) và rồi cộng chúng lại. Số này càng cao thì sự phân bổ của các đối tượng ốm và khỏe mạnh theo tình trạng vaccin có thể xảy ra bởi ngẫu nhiên càng ít. Với bảng 2 × 2như thế, một giá trị x2 lớn hơn 3,84 chứng tỏ rằng có ít hơn 5% xác suấtkết quả xảy ra ngẫu nhiên.
Trong ví dụ trên, cách tính sẽ là
x2 = (10-30)2/30 + (40-20)2/20+ (8060)2/60 + (20-40)2/40= 50.
Chúng ta có thể thấy rằng trong thực tế có xác suấtrất nhỏ khi cho rằng giá trị X2 cao có thể xuất hiện một cách tình cờ, và chúng ta có thể đưa ra nhận định rằng thuật toán thống kê hỗ trợ chúng ta kết luận vaccin có hiệu quả bảo vệ. Trong thực tế, xác suất chỉ mang tính ngẫu nhiên/ tình cờ khi giá trị có thể tính toán p<0,0001. Khi nhìn vào một bảng x2 sẽ thấy rằng họ chú ý đến một cái gì đó gọi là bậc tự do. Với những bảng như ở trên, điều này phải làm với những hàng và cột (loại phơi nhiễm và kết quả). Bậc tự do sẽ là (số hàng -1) × (số cột-1),như vậy với bảng 2 × 2 sẽ là (2-1) × (2-1) = 1. Với bảng 3 × 4 (3 kết quả khác nhau, 4 phơi nhiễm khác nhau), sẽ có độ tự do là (3-1) × (4-1) =6 và phải đề cập bảng này cho test x2 (bậc tự do viết tắt là d.f)
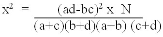
Một cách nhanh để tính giá trị x2 trong bảng 2 × 2 từ chương 4
và công thức là
ở đó các số trong ngoặc đơn ở mẫu số là tổng của các hàng và các cột. Bởi vì test x2là dễ dàng để thực hiện, thường dùng để kiểm tra ban đầu ngay cả cho các dữ liệu liên tục, mặt khác có thể dùng test t. Ví dụ nếu muốn so sánh nhiệt độ trong 2 nhóm bệnh nhân, người ta chỉ có thể chọn một giá trị nằm ở giữa của tất cả nhiệt độ đang đọc từ 2 nhóm và đếm số đối tượng trong mỗi nhóm có nhiệt độ trên hay dưới giá trị này. Như thế 4 số đạt được là được đặt trong bảng 2 × 2 và x2 được tính. Như thế nếu số x2 này đưa đến một giá trị p thấp thì bạn khá tin tưởng rằng test t cũng sẽ có một giá trị p thấp. Tuy nhiên, có một số lưu ý rất quan trọng khi sử dụng test x2. Nó là một phương pháp ước tính mà giá trị của nó được chấp nhận nhiều hơn khi cỡ mẫu nghiên cứu lớn hơn. Như quy luật ngón tay cái, những hạn chế này là:
1. Hoặc là tổng kích thước mẫu ( N ở trên) phải lớn hơn 40 hoặc
2. N có thể giữa 20 và 40 nhưng không có giá trị mong muốn nào trong bảng 2x2 nhỏ hơn 5
Nếu không có những tình trạng này đầy đủ, phải dùng test Fisher dưới đây:
Test Fisher
Test này rất thuận tiện với các nhà nghiên cứu y khoa, một phần có lẽ ở từ “chính xác” trong tên gọi của test. Nó xây dựng trên ý tưởng tương tự như 2 test trên: xác suất gì mà mô hình kết quả chúng ta quan sát đưa đến ngẫu nhiên ? Test fisher được dùng chủ yếu cho bảng 2 × 2,trong đó giá trị cá thể rất nhỏ cho 1 testx2được phép.
Chúng ta có bảng 2 × 2 như sau:
| Phơi nhiễm | không phơi nhiễm | |
Bệnh Chứng | 8 | 2 | 10 |
3 | 5 | 8 |
| 11 | 7 | 18 |
Chúng ta không thể dùng test x2, cũng không thể dùng công thức cho khoảng tin cậy của OR từ chương 4. Quan niệm đằng sau test fisher là như sau: Trong nghiên cứu có 10 ca bệnh và 8 ca chứng. 11 đối tượng là phơi nhiễm và 7 đối tượng không phơi nhiễm. 4 con số này tạo thành tổng các cột và hàng riêng lẻ. Giữ tổng các hàng và cột này hằng định, có bao nhiêu cách để 18 đối tượng của nghiên cứu được phân bổ trong 4 ô khác nhau. Hai khả năng khác có thể là:
| Phơi nhiễm | không phơi nhiễm | |
Bệnh Chứng | 8 | 2 | 10 |
3 | 5 | 8 |
| 11 | 7 | 18 |
| Phơi nhiễm | không phơi nhiễm | |
Bệnh Chứng | 1 | 6 | 10 |
2 | 6 | 8 |
| 3 | 15 | 18 |
Rõ ràng có một số phân bổ khác có thể. Xác suất của bất kỳ bảng 2 × 2 khi tổng của các hàng và cộtđược cố định có thể trình bày
Trong đó a, b,c, d là giá trị của 4 ô trong bảng 2 × 2. Dấu chấm than là dấu giai thừa và a!=1.2.3.4…..a. Ví dụ: 6! =6x5x4x3x2x1= 720 (0!=1). Sử dụng công thức này chúng ta có thể tính xác suất trong bảng 2 × 2 đầu tiên ở phần này
Tuy nhiên, chúng ta không chỉ quan tâm tới xác suất của sự phân bổ này mà còn quan tâm đến sự ngẫu nhiên để có được ngay cả kết quả tối ưu từ một phân bổ ngẫu nhiên của 18 đối tượng. Nghĩa tối ưu -Extreme ở đây nghĩa là một sự khác nhau lớn hơn trong tỷ lệ phơi nhiễm trong số các ca bệnh và ca chứng. Bảng 2 × 2 đã thay đổi ở trên như thế sẽ tối ưu hơn bảng gốc và sự phân bổ tối ưu nhất sẽ phù hợp với tổng các hàng và tổng các cột cố định sẽ là:
| Phơi nhiễm | không phơi nhiễm | |
Bệnh Chứng | 10 | 0 | 10 |
1 | 7 | 8 |
| 11 | 7 | 18 |
Không có không phơi nhiễm trong ca bệnh và chỉ có một ca phơi nhiễm trong 8 ca chứng. Trong tính giá trị p cho sự phân bổ ca bệnh theo test fisher, chúng ta thêm xác suất với sự phân bổ được quan sát đối với xác suất cho tất cả sự phân bổ xa hơn. Trong ví dụ này xác suất cho 2 sự phân bổ xa hơn có thể được tính toán là 0,009 và 0,0003 riêng lẻ với công thức trên. Giá trị p sẽ là 0,08+ 0,009 + 0,0003 = 0,081 và như thế nó là khá giống với những gì chúng ta nhận được sự phân bổ được quan sát ở ngay phần đầu của phần này chỉ bởi ngẫu nhiên. Ngay cả với những số rất nhỏ trong bảng 2 × 2, test fisher tốn nhiều thời gian để thực hiện và việc sử dụng một số chương trình thống kêchuẩn ở trong máy tính được khuyến cáo mạnh mẽ
Test một phía và test 2 phía
Một vấn đề khác cần quan tâm trong test ý nghĩa là khi nào cần gọi là test một phía hay test hai phía. Một lần nữa đây là một sự thảo luận mang tính hơi triết học và thực sự phụ thuộc vào giả định mà người ta tiến hành trước khi thực hiện test. Giả thiết căn bản (được gọi là giả thiết Ho) trong 3 phương pháp thống kê được mô tả ở trên là không có sự khác biệt thực sự giữa 2 nhóm, và sự khác nhau quan sát được là một ảnh hưởng ngẫu nhiên. Cuối cùng tính toán xác suất mà sự khác nhau này đưa đến chỉ ở ngẫu nhiên, nếu xác suất này rất nhỏ chúng ta suy luận ra rằng không chắc chúng ta đã thực hiện một phát hiện ngẫu nhiên. Nếukhông có một ý định trước về định hướng sự khác nhau giữa 2 nhóm xảy ra, ví dụ đó chỉ là một sự hợp lý rằng nhiệt độ trung bình ở nhóm A cao hơn nhiệt độ trung bình nhóm B gần đó, thì phải thực hiện test 2 phía. Điều này sẽ bảo chúng ta rằng xác suất (khả năng xảy ra) bổ sung quan sát là cao,cao hơn, một sự khácnhau trong nhiệt đô ở giữa A-B và của quan sát sự khác nhau tương tự B-A. Tuy nhiên, nếu chúng ta có một số kiến thức trước rằng điều trị C ít nhất tốt bằng điều trị D và có thể tốt hơn thì chỉ quan tâm trong phát hiện nếu bệnh nhân nhận C có sức khoẻtốt hơn bệnh nhân D. Trong trường hợp này, có thể thực hiện test ý nghĩa 1 phía, điều này chỉ ra rằng xác suất mà những bệnh nhân C có sức khoẻ tốt hay tốt hơn những bệnh nhân D chỉ bởi ngẫu nhiên.
Test x2 luôn luôn là test 2 phía và như vậy nó cho biết không có khác nhau giữa cách thức mà sự khác biệt được quan sát này có thể xảy ra. Các bảng testt bao gồm những cột cho cả 2 test 1 phía và 2 phía, trái lại test fisher như đã mô tả ở trên chỉ là test một phía. Một phép ước tính đơn giản để thực hiện giá trị p cho bởi test fisher áp dụng trong test 2 phía là chỉ cần phép nhân đôi giá trị đó. Người ta có thể thử nghiệm để chọn giá trị p cho test một phía từ một bảng t bởi vì nó luôn luôn thấp hơn test 2 phía, nhưng điều này chỉ có thể thực hiện nếu người ta biết chắc trước đó rằng sự khác nhau quan sát được chỉ diễn ra theo một hướng. Trong thử nghiệm một thuốc mới, điều này chỉ quan trọng để khám phá ra rằng nó thực sự có hại đối với bệnh nhân cũng như có lợi và thử nghiệm của chúng ta phải bao gồm cả hai khả năng này.
Một số điều chú ý về các test thống kê
Cũng giống như tất cả các quan niệm được vay mượn trong dịch tễ học từ lý thuyết thống kê, test thống kê giả định rằng mẫu không có sai số. Một giá trị p chỉ cho chúng ta biết xác suất mà sự khác nhau chúng ta quan sát được là do ngẫu nhiên và các ảnh hưởng của tính ngẫu nhiên. Nếu có một sai số trong chọn lựa đối tượng hay trong loại phơi nhiễm giữa 2 nhóm, hay trong đo lường kết quả thì giá trị p không cho biết về tính chính xác trong phát hiện của chúng ta. Có 2 quan niệm nhầm lẫn phổ biến trong giải thích giá trị p.
Giả định đầu tiên rằng thấp hay rất thấp, giá trị p chứng tỏ rằng sự khác biệt mà chúng ta thấy là do điều trị, hay do phơi nhiễm,… Thử nghiệm giả thiết thống kê bằng phân tích ý nghĩa không bao giờ chứng minh bất kể điều gì, mà nó chỉ bảo chúng ta rằng xác suất ảnh hưởng được quan sátphải do tình cờ là rất thấp. Nếu muốn cẩn thận hơn, phải chứng tỏ các phát hiện như Test có ý nghĩa thống kê cho một chỉ dẫn rằng phát hiện quan sát được là không chỉ do ngẫu nhiên. Tiếp tục lý giải vấn đề này, người ta cần nhớ rằng nhiều bài báo trong các tạp chí y khoa đề cập giá trị p nhỏ hơn 5% là có ý nghĩa. Điều này là tương đương với tình trạng chỉ có một cơ hội trong 20 kết quả là do ngẫu nhiên. Giải thích một cách chặt chẽ hơn điều này nghĩa là trong số 20 nghiên cứu như thế báo cáo mối liên quan có ý nghĩa, 1 chỉ là một phát hiện ngẫu nhiên. Với một số lượng lớn các tạp chí y khoa đang được xuất bản mỗi tháng thì số các phát hiện không xác thực như thực tế là khó lãng quên.
Nhầm lẫn thứ 2 có thể xảy ra khi xem xét theo cách ngược lại. Nếu kết quả nghiên cứu phát hiện không có ý nghĩa thống kê, điều này một đôi khi được báo cáo là không có mối liên quan giữa phơi nhiễm A và kết quả B. Đây có thể là sai hoàn toàn và có thể có mối liên quan khá mạnh, mặc dù nghiên cứu là thất bại để khẳng định điều đó. Phần lớn, điều này là do cỡ mẫu quá nhỏ và một nghiên cứu tương tự trên một số đối tượng lớn hơn có thể phát hiện tốt sự khác biệt có ý nghĩaSự thiếu ý nghĩa trong một test không chứng minh được rằng giả thiết đối lập là đúng.
Cuối cùng, miêu tả vắn tắt về ý nghĩa của từ “significance-mức ý nghĩa”. Đây là một từ với nhiều nghĩa tích cực nhưng phải luôn luôn nhớ rằng nó chỉ nhấn mạnh đến ý nghĩa thống kê. Một phát hiện rất có ý nghĩa thống kê có thể có một ý nghĩa lâm sàng rất thấp. Những nghiên cứu có thể chứng tỏ một nguy cơ gia tăng đáng kể trong việc phát hiện bệnh Hodgkin sau khi cắt bỏ hạch hạnh nhân ở tuổi dậy thì nhưng nguy cơ đối với cá thể là quá nhỏ đến nỗi mà một lượng gấp đôi cá thể nghiên cứu cũng có thể không có ý nghĩa bởi vì một số lượng lớn người cắt bỏ hạch hạnh nhân không phát triển u bạch huyết này. Ngay cả khi không có chẩn đoán phân biệt đối với các bệnh nhân bị sốt kéo dài mà trong thực tế các bệnh nhân đã có cắt bỏ hạch hạnh nhân được chăm sóc y tế nhiều hơn. Ý nghĩa lâm sàng của một phát hiện như thế là thấp.
Tóm lại
Nếu chúng ta nghiên cứu một mẫu đối tượng từ một quần thể lớn hơn thì luôn luôn tạo cơ hội cho các đối tượng được lựa chọn. Chúng ta có thể đưa vào mẫu nghiên cứu quá nhiều đối tượng với bệnh A, hay quá ít kháng thể với bệnh B. Lý thuyết thống kê cho chúng ta biết mẫu nghiên cứu có khả năng khác biệt như thế nào so với toàn bộ quần thể nghiên cứu và được biểu thị qua khoảng tin cậy từ số liệu được ước tính từ mẫu nghiên cứu đó mà những giá trị này có khả năng giống với những con số trong toàn bộ quần thể nghien cứu. Nếu chúng ta phát hiện một sự khác biệt lớn trong 2 nhóm nghiên cứu hoặc trong một số biến liên tục như giá trị haemoglobin hay tuổi; hay trong biến tỷ lệ của các đối tượng có những đặc điểm khác nhau (thường là biến phân hạng) chúng ta có thể tính xác suất mà sự khác biệt này có thể xảy ra ngẫu nhiên. Với các biến liên tục, thực hiện với test t, với biến phân hạng (categories) với test x2. Nếu các giá trị trong các ô của bảng 2 × 2 là nhỏ, test fisher được cho là cách thay thế tốt nhất so với việc sử dụng test x2. Như là quy luật của ngón tay cái, một giá trị t lớn hơn 2 và một giá trị x2 với bảng 2 × 2 lớn hơn 4 chứng tỏ rằng phát hiện là có ý nghĩa thống kê ở mức 5%. Một phát hiện rất có ý nghĩa thống kê có thể có ít ý nghĩa lâm sàng.