Vaccine chống sốt xuất huyết
Các nhà khoa học Thái Lan đang nghiên cứu loại vaccine đầu tiên trên thế giới phòng chống bệnh sốt xuất huyết - căn bệnh lan tràn rộng nhất trên thế giới. Dự kiến, vaccine sẽ được đưa vào sử dụng trong khoảng 10 năm nữa.
Sau hơn 30 năm nghiên cứu, các nhà khoa học thuộc trường đại học Mahidol, Đại học Chiang Mai, và Trung tâm công nghệ sinh học và gene Thái Lan đã gặt hái được những thành công bước đầu trong việc tạo ra vaccine phòng chống bệnh sốt xuất huyết. Vaccine này có thể chặn 4 dòng virus sốt xuất huyết. Thử nghiệm trên khỉ, lợn và chuột cho thấy vaccine này rất an toàn và hiệu quả. Tuy nhiên, để đưa vào sử dụng rộng rãi trên người thì phải mất khoảng 10 năm nữa.
Theo Tiến sĩ Sutee Yoksan, Giám đốc Trung tâm phát triển vaccine - Đại học Mahidol (Thái Lan): “Bước tiếp theo, chúng tôi sẽ tiêm thử vaccine trên người. Có 3 giai đoạn thử nghiệm trên người, giai đoạn đầu tiên sẽ mất 1 năm, giai đoạn 2 là 2 năm, và giai đoạn 3 mất 3 năm. Để tạo ra vaccine sử dụng được trên người, chúng tôi cần phải trải qua 3 giai đoạn đó trước, và sẽ ít nhất là 6 năm”.
Hiện khó khăn lớn nhất đối với các nhà khoa học là vượt qua được chủng thứ 3. “Virus sốt xuất huyết tuýp 1,2 và 4 có đặc tính khá giống nhau, như anh chị em ruột. Chúng giống nhau về chức năng, nhưng chủng thứ 3 thì khác một chút. Nó sẽ tiếp tục sản sinh trong môi trường tế bào nhất định, và một số chất nhất định”.
Tiến sĩ Sutee Yoksan cho biết. Nếu loại vaccine này được sản xuất rộng rãi, sẽ rất có lợi cho các nước vùng nhiệt đới, đặc biệt là Thái Lan, nơi có hơn 100 nghìn người nhiễm bệnh và 139 người chết vì bệnh này hồi năm ngoái.
Sắp có vaccine tổng hợp phòng chống các loại bệnh
Nhà nghiên cứu miễn dịch Colombia Manuel Elkin Patarroyo vừa thông báo đã xác định được các nguyên tắc hóa học để điều chế vaccine tổng hợp phòng chống tất cả các bệnh lây nhiễm ở người. Nhà khoa học 64 tuổi này cho biết dù các kết quả thí nghiệm (trên khỉ) mà ông cùng nhóm nghiên cứu thuộc Viện Miễn dịch học Colombia đang tiến hành mới cho hiệu quả 40%, nhưng đã có khả năng phòng ngừa tới 95% số bệnh đề cập ở trên. Theo ông Patarroyo, trên thế giới hiện có khoảng 517 loại bệnh truyền nhiễm đe dọa nhân loại, trong khi giới khoa học mới chỉ tìm ra vaccine cho 15 loại bệnh trong số này. Vaccine chống sốt rét là vaccine dạng tổng hợp đầu tiên, nhưng đã mở ra con đường để điều chế vaccine cho bất kỳ loại bệnh truyền nhiễm nào. Nhà khoa học Patarroyo là người đã tìm ra vaccine đầu tiên phòng bệnh sốt rét (SPF-66) vào năm 1986. Năm 1995, ông đã trao bằng phát minh vaccine chống sốt rét cho Tổ chức Y tế thế giới (WHO).
Trung Quốc thành công bước đầu với vaccine ngừa HIV
Tờ Chinadaily đưa tin, các nhà khoa học Trung Quốc đã thành công trong giai đoạn đầu thử nghiệm lâm sàng vaccine ngừa HIV. Shao Yiming, chuyên gia hàng đầu của Trung tâm Kiểm soát và ngăn ngừa AIDS/STD Trung Quốc, cho biết giai đoạn 2 của cuộc thử nghiệm vaccine này sẽ diễn ra trong 3-4 tháng tới. Thông thường, một loại vaccine phải trải qua 3 giai đoạn thử nghiệm lâm sàng để đánh giá về ảnh hưởng đối với sức khỏe con người. Vaccine ngừa HIV được các nhà khoa học Trung Quốc bắt đầu nghiên cứu từ năm 1993 với việc thử nghiệm lâm sàng một loại vaccine sản xuất ở nước ngoài. Năm 2005, các nhà khoa học nước này phát triển một loại vaccine mới. Các cuộc thử nghiệm lâm sàng bắt đầu được tiến hành từ năm 2007 và đến cuối năm ngoái và được chứng minh có khả năng tăng cường trở lại hệ miễn dịch ở các tế bào của cơ thể người.
Vaccine phòng chống AIDS hiệu quả đến đâu ?
Theo bài viết của GS.TS. Nguyễn Văn Tuấn cho biết trong 30 năm qua, kể từ ca AIDS đầu tiên được phát hiện, các nhà khoa học đã tiêu nhiều tiền và thời gian để tìm một vaccine hi vọng phòng chống HIV (HIV được xem là virus dẫn đến bệnh AIDS), nhưng hết nghiên cứu này đến nghiên cứu khác, kết quả đều âm tính, thất bại. Hôm qua, một bản tin truyền đi từ Thái Lan cho biết lần đầu tiên sau 30 năm, một vaccine thử nghiệm cho thấy có thể giảm nguy cơ AIDS. Báo chí quốc tế rầm rộ đưa tin rằng vaccine giảm 1/3 nguy cơ nhiễm HIV. Tuy nhiên đọc kĩ kết quả nghiên cứu này, tôi lại hiểu khác: tôi cho rằng còn quá sớm để tuyên bố vaccine có hiệu quả, và kết quả giảm 1/3 nguy cơ nhiễm HIV có thể là do yếu tố ngẫu nhiên chứ chưa chắc là vaccine có hiệu quả sinh học thật sự.Vaccine mang kí danh “RV 144” là kết hợp hai loại vaccine được sản xuất bằng kĩ thuật di truyền. Nghiên cứu trước đây cho thấy cả hai vaccine này đều không có hiệu quả ở con người.
Công trình nghiên cứu do quân y Mĩ tài trợ và thực hiện qua sự hợp tác của các chuyên gia Thái Lan. Năm 2006, nhóm nghiên cứu tuyển 16,395 đối tượng từ cộng đồng (không phải nhóm có nguy cơ cao), tuổi từ 18 đến 30, theo các tiêu chuẩn định sẵn từ 2 tỉnh của Thái Lan.
Tất cả những người này đều không bị nhiễm HIV lúc tham gia công trình nghiên cứu; họ được chia thành 2 nhóm một cách ngẫu nhiên: 8197 người được tiêm 6 liều vaccine RV144, 8198 người dùng giả dược (tức placebo). Sau 3 năm theo dõi, kết quả như sau:
 |
Kết quả nghiên cứu vaccine RV144 |
+ Nhóm vaccine có 51 người nhiễm HIV, tỉ lệ 0.62%(hay 6 trên 1000 người);
+ Nhóm giả dược có 74 người nhiễm HIV, tỉ lệ 0.90% (9 trên 1000 người);
Như vậy con số 31% đến từ đâu? Tôi nghĩ các nhà nghiên cứu tính theo nguy cơ tương đối (relative risk), tức là lấy 0.62 chia cho 0.90 và kết quả là 0.69. Nói cách khác, xác suất nhiễm HIV trong nhóm vaccine thấp hơn nhóm giả dược 31%. Đây chính là con số mà giới báo chí được các nhà nghiên cứu cung cấp và chuyển tải đến công chúng trên thế giới. Nhưng cách tính và cách phát biểu đó có thể gây hiểu lầm. Con số giảm 31% mà giới báo chí rầm rộ đưa tin không có nghĩa là giảm 31% ca nhiễm HIV, mà giảm 31% nguy cơ nhiễm HIV. Chú ý, ca nhiễm HIV khác với nguy cơ nhiễm HIV. Một cá nhân hoặc là nhiễm hoặc là không nhiễm HIV; do đó, con số ca nhiễm là những ca cụ thể. Nguy cơ là xác suất phản ảnh tính bất định của tình trạng nhiễm HIV, do động từ 0 đến 1. Một cá nhân có thể có nguy cơ nhiễm cao (hay thấp), nhưng điều đó không có nghĩa là cá nhân bị nhiễm HIV. Vậy thì chúng ta phải diễn giải kết quả trên như thế nào? Chúng ta phải quay lại với số liệu trên: nếu tính bằng nguy cơ tuyệt đối (absolute risk), vaccine chỉ giảm 0.28% (lấy 0.90% trừ cho 0.62%) mà thôi. Nói cách khác, trong 3 năm, cứ 1000 người được tiêm chủng thì vaccine giảm khoảng 3 người so với nhóm không tiêm vaccine. Đây chính là kết quả thật của công trình nghiên cứu.
Với một hiệu quả quá khiêm tốn như thế, người hoạch định chiến lược y tế cộng đồng phải đặt câu hỏi: có đáng đồng tiền bỏ ra hay không? Giả dụ 6 liều vaccine tốn 300 USD, kết quả trên có nghĩa là xã hội phải chi ra 300,000 USD chỉ để giảm 3 ca nhiễm HIV! (Nên nhớ rằng người được tiêm chủng vaccine cũng bị nhiễm HIV, chứ không phải hoàn toàn miễn nhiễm). Câu hỏi kế tiếp là kết quả trên có phải do ngẫu nhiên hay ảnh thưởng sinh học? Khó có câu trả lời cho câu hỏi này, bởi vì ngay cả nhóm làm nghiên cứu cũng không tiên lượng được. Thật ra, công trình nghiên cứu là một chủ đề tranh cãi ngay từ lúc bắt đầu. Các nhà khoa học Mĩ, kể cả Robert Gallo (người có công khám phá HIV), kí tên trong một tuyên bố trên tập san Science cáo buộc rằng chính phủ Mĩ đã phung phí 119 triệu USD cho một thử nghiệm, vì họ cho rằng vaccine sẽ không có hiệu quả. Như tôi đề cập trên, vaccine sử dụng trong thử nghiệm này được sản xuất từ 2 vaccine (ALVAC của công ti sanofi-aventis và AIDSVAX của VaxGen), và cả hai vaccine thành tố này trước đây đều không có hiệu quả ở người, vậy thì tại sao khi 2 vaccine kết hợp nhau lại có hiệu quả? Không (hay chưa) có câu trả lời.
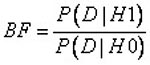
Trong khi chưa có câu trả lời mang tính sinh học, chúng ta phải đặt câu hỏi: có phải kết quả là do yếu tố ngẫu nhiên? Có nhiều cách để trả lời câu hỏi này. Cách đơn giản nhất là ước tính trị số P, và trong trường hợp này (với các số liệu trên), P = 0.048. Nói cách khác, nếu vaccine không có hiệu quả, thì xác suất mà chúng ta có kết quả trên là khoảng 5%. Như vậy, chúng ta vẫn chưa có bằng chứng thuyết phục để tuyên bố rằng vaccine thật sự có hiệu quả, bởi vì kết quả có thể chỉ là tình cờ. Nếu các nhà nghiên cứu lặp lại thử nghiệm, chưa chắc họ đã có kết quả trên. Nhưng trong thực tế chắc chắn chẳng ai lại tiêu ra 119 triệu USD chỉ để lặp lại nghiên cứu trên! Do đó, một cách lí giải khác nhanh hơn là sử dụng lí thuyết Bayes. Gọi D là dữ liệu mà công trình nghiên cứu vừa thu thập được, H0 là giả thuyết vaccine không có hiệu quả, H1 là giả thuyết vaccine có hiệu quả. Chúng ta tính hai xác suất có điều kiện: P(D | H0) là xác suất dữ liệu quan sát được nếu giả thuyết H0 đúng; và P(D | H1) là xác suất dữ liệu quan sát được nếu giả thuyết H1 đúng. Tỉ số của 2 xác suất này được gọi là Bayes Factor (BF):
Bởi vì dữ liệu D là bằng chứng, cho nên BF chính là một đo lường bằng chứng nghiêng về giả thuyết nào. Nhìn qua công thức trên chúng ta có thể thấy: Nếu BF = 1, bằng chứng không nghiêng về một giả thuyết nào cả (hai giả thuyết có xác suất như nhau); nếu BF > 1, bằng chứng nghiêng về (yểm trợ) giả thuyết H1 hơn là H0; và nếu BF < 1, bằng chứng nghiêng về (yểm trợ) giả thuyết H0 hơn là H1. Theo qui ước, chỉ khi nào BF trên 30 thì bằng chứng mới có tính thuyết phục. Trong trường hợp y tế công cộng (liên quan và ảnh hưởng đến nhiều người), BF phải trên 100. Với những dữ liệu trên, tôi ước tính BF khoảng 2.5. Do đó, có thể nói rằng bằng chứng về hiệu quả của vaccine phòng chống HIV vẫn chưa thuyết phục. Rất có thể kết quả mà các nhà nghiên cứu công bố chỉ là tình cờ, ngẫu nhiên. Con đường đi đến một vaccine phòng chống HIV vẫn còn xa.
Sắp thí nghiệm lâm sàng vaccine AIDS thế hệ mới
Theo các nhà khoa học thế giới, một loại vắcxin thế hệ mới có thể đánh lừa được virus HIV, có thể sẽ được thí nghiệm lâm sàng vào năm tới. Loại vaccine mới này có thể thích ứng với sự đột biến liên tục của virus HIV. Việc virus HIV có khả năng đột biến với tốc độ nhanh đã khiến những loại thuốc hiện nay không phát huy được nhiều tác dụng. Virus HIV chủ yếu được hợp thành bởi protein và có thể gây ra bệnh AIDS, phá hoại hệ miễn dịch cơ thể người, khiến cho người bệnh dễ mắc các bệnh truyền nhiễm và ung thư. Vaccine phòng chống AIDS truyền thống thông qua kích thích hệ miễn dịch cơ thể người để nhận dạng được các axit amin đặc biệt có trong virus HIV.
Tuy nhiên, vaccine thế hệ mới được hợp thành bởi nhiều chủng loại protein nhân tạo được sắp xếp thông qua hệ thống máy vi tính. Loại vaccine thế hệ mới này sẽ xâm nhập vào hệ miễn dịch cơ thể người và tạo phản ứng với nhiều biến chủng virus HIV. Các nhà khoa học hy vọng sẽ tiến hành thí nghiệm lâm sàng trên người loại vaccine phòng chống AIDS thế hệ mới này vào năm 2012. Nghiên cứu trên đã được sự tài trợ của Quỹ Bill & Melinda Gates và Viện nghiên cứu y tế quốc gia Mỹ.
Triển vọng với vaccine SARS từ sữa
Tờ Strait Times vừa đưa tin, các nhà khoa học Singapore đã thí nghiệm thành công một loại vaccine chống virus làm từ khuẩn sữa trên loài chuột. Các nhà khoa học tại Singapore đã chủng ngừa thành công cho loài chuột trước một loại virus cùng họ với SARS bằng cách cho chúng ăn một loại khuẩn tạo acid lactic đã được biến đổi gene. Các nhà nghiên cứu đã chế tạo vaccine bằng cách sao một protein bề mặt của virus và cấy vào khuẩn sữa casei, một loại vi khuẩn có trong các loại sữa thông thường. Nhóm nghiên cứu đã theo đuổi đề tài này được 3 năm và đã thực hiện việc cấy ghép tương tự trên khuẩn sữa và tế bào men bia đối với virus SARS. Các thử nghiệm trên động vật sẽ được tiến hành trong thời gian tới. Mỹ và Trung Quốc cũng đã tiến hành nghiên cứu vaccine dạng tiêm đối với vi khuẩn SARS. Trung Quốc đã tiến hành thử nghiệm vaccine trên các tình nguyện viên.
Thông tin về vaccine tiêm phòng 6 mũi trong 1 của trẻ em
Vaccine 6 trong 1 mang tên INFANRIX HEXA là Vaccine phối hợp dự phòng 6 bệnh ở trẻ nhỏ: Bạch hầu, ho gà, uốn ván, bại liệt, viêm gan siêu vi B và các bệnh gây ra do vi khuẩn Hacmophilus influenzac type b ( Hib) đặc biệt là viêm màng não mủ. Vaccine này giúp cho các trẻ nhỏ tránh khỏi những loại bệnh có thể chủng ngừa và giúp giảm số mũi tiêm từ 9 xuống còn 3 mũi (nếu chích ngay từ đầu). Đây là loại vaccine phối hợp "6 trong 1", bởi chỉ tiêm 1 mũi, vaccine này có thể ngừa được 6 bệnh. Cụ thể, nó có tác dụng bảo vệ trẻ chống những căn bệnh có khả năng gây tử vong hoặc tàn tật như: bạch hầu, uốn ván, ho gà, viêm gan siêu vi B, bại liệt và các bệnh gây ra do vi khuẩn Haemophilus influenzae tuýp b (Hib), đặc biệt là viêm màng não mủ. Vaccine Infanrix hexa đã được cấp phép lưu hành trên 70 quốc gia trên khắp thế giới. Tại châu Âu, Infanrix hexa được đưa vào sử dụng từ ngày 23/10/ 2000 và đang được hầu hết các nước: Áo, Bỉ, Pháp, Đức, Hy Lạp, Italy, Luxembua, Tây Ban Nha, Thụy Điển… dùng để tiêm phòng cho trẻ dưới 1 tuổi. Theo các chuyên gia tại Bệnh Viện Nhi Trung ương, trong năm đầu đời, trẻ sơ sinh cần phải được tiêm phòng một số loại bệnh với số lượng 9 mũi tiêm. Bạn nên tham khảo ý kiến bác sĩ chuyên khoa Nhi trước khi tiêm phòng cho bé!
Vì sao phải tiêm vaccine nhắc lại?
Gần đây, một số dịch bệnh ở trẻ em mặc dù đã được tiêm chủng vaccine, nhưng đang có biểu hiện gia tăng số ca mắc. Theo đánh giá của ngành y tế, do trẻ em còn thiếu các mũi tiêm nhắc lại nên hiệu quả phòng bệnh của các loại vaccine chưa cao. Để làm rõ hơn vấn đề này, PV Báo Lao Động đã có cuộc trao đổi với PGS-TS Đỗ Sỹ Hiển - Giám đốc Trung tâm Nghiên cứu và tư vấn về sức khỏe cộng đồng.
Thưa ông, vì sao phải cần có các mũi tiêm vaccine nhắc lại?
Sở dĩ cần có các liều tiêm nhắc vì sau khi tiêm đủ liều một loại vaccine, cơ thể có được miễn dịch bảo vệ cần thiết, tuy nhiên thời gian bảo vệ của từng loại vaccine khác nhau. Độ bền vững của kháng thể phụ thuộc vào bản chất của vaccine, chủng dùng để sản xuất, công nghệ sản xuất, đáp ứng của cơ thể... Nói chung miễn dịch được tạo ra bởi các loại vaccine sẽ giảm dần theo thời gian, đến một lúc nào đó cơ thể không đủ sức chống lại sự tấn công của mầm bệnh và do vậy việc tiêm các mũi nhắc lại để nâng cao hiệu giá kháng thể là rất cần thiết để bảo vệ cơ thể. Ở Việt Nam đã tiêm nhắc liều cho một số vaccine quan trọng như vaccine bại liệt cho trẻ em, vaccine uốn ván cho phụ nữ. Sau khi nhận đủ 3 liều vaccine bại liệt cơ bản, từ năm 1993-1998, hàng năm trẻ em dưới 5 tuổi còn được uống 2 liều vaccine bại liệt bổ sung. Vì thế chúng ta đã thanh toán được bại liệt vào năm 2000. Với vaccine uốn ván, phụ nữ có thai và phụ nữ tuổi 15-35, sau khi được tiêm 2 liều vaccine cơ bản, hàng năm còn được tiêm nhắc cho đủ 5 liều vaccine để có miễn dịch bền vững. Kết quả là VN loại trừ được bệnh uốn ván sơ sinh vào năm 2005. Tiến tới loại trừ bệnh sởi vào năm 2012, từ năm 1999 - 2002 - 2003 VN đã tổ chức nhiều chiến dịch tiêm vaccine sởi mũi 2 cho trẻ em từ 9 tháng tới 10 tuổi trong cả nước.
Việc tiêm nhắc lại các loại vaccine dựa trên những căn cứ nào?
Do kháng thể được tạo nên bởi việc tiêm chủng các loại vaccine là rất khác nhau. Có những vaccine có thời gian bảo vệ ngắn như vaccine cúm chỉ có tác dụng trong 1 năm, vaccine tả: 2 năm, vaccine thương hàn, não mô cầu, phế cầu (với kháng nguyên không cộng hợp), vaccine viêm não Nhật Bản bất hoạt...: 3 năm. Những vaccine có thời gian bảo vệ trung bình khoảng 4- 5 năm như bạch hầu, ho gà, uốn ván (DPT), thuỷ đậu, Hib, uốn ván... Việc tiêm nhắc lại mỗi loại vaccine phụ thuộc vào các yếu tố như: Cơ chế miễn dịch, lứa tuổi nguy cơ, sự biến đổi chủng gây bệnh, dịch tễ học của bệnh cần phòng, chống, độ an toàn của vaccine, đáp ứng của cơ thể, điều kiện và tính hiệu quả của lịch tiêm nhắc... Chẳng hạn với vaccine DPT sau khi tiêm đủ 3 mũi vào tháng tuổi 2-3-4 có khả năng bảo vệ trẻ đến 4-5 tuổi, tuy nhiên lịch tiêm nhắc được khuyến cáo vào tháng tuổi 18-24 nhằm đảm bảo tính an toàn (vì tiêm nhắc quá muộn, tỉ lệ phản ứng không mong muốn sẽ cao hơn). Với một số bệnh mặc dù thời gian bảo vệ của vaccine kéo dài nhưng sau nhiều năm đặc điểm dịch tễ học có nhiều thay đổi làm ảnh hưởng tới khả năng bảo vệ. Ví dụ bệnh sởi, ho gà, bạch hầu, viêm não Nhật Bản, thủy đậu... trước đây chỉ gặp ở trẻ em thì nay người trưởng thành cũng mắc bệnh. Một trong các nguyên nhân dẫn tới tình trạng trên là khi mầm bệnh còn lưu hành rộng rãi, việc phơi nhiễm với mầm bệnh thường xuyên xảy ra. Khi sự lưu hành của mầm bệnh ở mức rất thấp, kháng thể bảo vệ sau tiêm chủng giảm đi nhanh chóng dẫn tới lứa tuổi mắc bệnh có sự thay đổi. Do vậy việc tiêm nhắc vaccine là rất cần thiết cho các lứa tuổi lớn hơn.
Ở Việt Nam hiện nay, những loại vaccine nào cần phải tiêm nhắc lại và tiêm cho những đối tượng nào?
Hiện nay Nhà nước không thể bao cấp tiêm miễn phí tất cả các vaccine. Với các đối tượng nguy cơ cao hoặc sống ở các vùng lưu hành nặng của bệnh, trẻ em đến tuổi đi học... cần quan tâm đến việc tiêm nhắc vaccine. Ở VN, việc tiêm nhắc vaccine DPT là hết sức cần thiết nhưng chưa được thực hiện. Do vậy việc tiêm nhắc vaccine này cho trẻ lúc 18 tháng tuổi trong lịch tiêm chủng mới bắt đầu từ năm 2010 là sự nỗ lực lớn của ngành y tế. Sắp tới, việc tổ chức chiến dịch tiêm mũi 2 vaccine sởi cho trẻ em dưới 6 tuổi trong cả nước. Hiện nay, có nhiều loại vaccine khác cũng được khuyến cáo tiêm nhắc. Tuy nhiên, hiện nay có nhiều bậc cha mẹ còn chưa hiểu biết đầy đủ về lịch tiêm chủng, đặc biệt là sự cần thiết phải tiêm nhắc lại và tiêm khi nào. Vì thế đã ảnh hưởng tới tỉ lệ tiêm chủng, tới hiệu quả phòng bệnh của việc sử dụng vaccine.
Novartis sản xuất mẻ vaccine H1N1 đầu tiên
Hôm qua Tổ chức y tế thế giới đã chính thức công bố đại dịch cúm do H1N1. Trước đó, nhiều quốc gia đã chờ đợi công bố chính thức này với hy vọng nó sẽ tạo điều kiện để các nước hợp tác chặt chẽ nhằm mang lại hiểu quả cao hơn những cố gắng đơn lẻ. Hơn nữa, các nước gặp nhiều khó khăn trong phòng chống dịch có cơ hội được hỗ trợ tốt hơn từ cộng đồng quốc tế. Từ khi chủng virus H1N1 xuất hiện và gây bệnh tại Mexico, các phòng thí nghiệm cũng như các hãng dược phẩm đã tập trung nghiên cứu vaccine cho chủng virus mới này.
Cách đây vài giớ hãng dược phẩm Novartis có trụ sở chính tại Basel, Thụy Sĩ cho biết hãng đã sản xuất thành công lô vaccine đầu tiên tại cơ sở ở thành phố Marburg (CHLB Đức). Tại đây, theo người phát ngôn của hãng, trang thiết bị có thể cho phép sản xuất hàng triệu liều vaccine mỗi tuần. Cơ sở sản xuất thứ hai, theo kế hoạch, được xây dựng tại Holly Springs (Bắc Carolina, Mỹ). Hãng cũng cho biết, hơn 30 quốc gia đã đặt hàng vaccine H1N1 trong đó 289 triệu USD là số tiền đặt hàng của Bộ Y tế Hoa Kỳ. Vaccine H1N1 của Novartis được sản xuất theo cộng nghệ gây nhiễm trên tế bào chứ không ứng dụng công nghệ chế tạo vaccine trên trứng. Đây là kết quả đạt được sớm hơn dự kiến của hãng.
Một loại virus có tên là virus Kujin đã tìm thấy trong những loài muỗi ở phía bắc Úc có thể cung cấp nền tảng cho việc điều chế vaccine chống lại AIDS và chữa lành ung thư. Một nhóm nghiên cứu ở ĐH Queensland đã dựa trên những protein được lấy từ virus ký sinh trong muỗi là virus Kujin có khả năng cung cấp việc chẩn trị bằng liệu pháp gene cũng như các vaccine ngăn chặn những căn bệnh chết người. Bộ Sức khỏe Úc cho biết, virus Kujin là virus có họ hàng với virus phía Tây sông Nile. Andreas Suhrbier, người đứng đầu Viện Nghiên cứu các vấn đề về y tế ĐH Queensland, nói các gene được lấy ra từ virus Kujin đã được dùng để chữa những tế bào ung thư trên những con chuột thí nghiệm.
"Chúng tôi sẽ chuyển một gene, gene này sẽ báo cho hệ thống miễn dịch biết có những tế bào bệnh đang ở chung quanh và giúp cho hệ thống miễn dịch biết cách để quét sạch những tế bào ung thư", ông ta nói.
Trong khi những kết quả ở chuột rất hứa hẹn, những thử nghiệm trên người sẽ được thực hiện tối thiểu trong vòng 5 năm tới. Và hy vọng cuối cùng là phát triển một hệ thống có thể giúp con người miễn dịch với những virus lây lan nguy hiểm như HIV hoặc ebola hoặc bất cứ bệnh truyền nhiễm khác. Và đặc biệt, cũng có thể chữa được bệnh ung thư, đây là một vấn đề rất lớn. Virus Kujin là một vaccine lý tưởng. Trước đây, virus Kujin đã được tách ra đầu tiên từ những con muỗi thu thập từ phía bắc Queensland vào năm 1960.
Hiện tượng “Breakthrough” sau tiêm một liều vaccine ngừa thủy đậu
Hiện tượng “Breakthrough” (nhiễm lại) trong bệnh thủy đậu xảy ra đối với một số trẻ sau chủng ngừa một liều vaccine đang gây thắc mắc và lo lắng cho các bậc phụ huynh, nhất là tại thời điểm “vào mùa” của bệnh như hiện nay.
Tại sao có hiện tượng nhiễm lại?
Theo BS.Trương Hữu Khanh, Trưởng khoa Nhiễm, BV. Nhi Đồng I, thành phố hồ Chí Minh cho biết: “Mùa cao điểm của thủy đậu (còn gọi là phỏng ra hay trái rạ) thường xảy ra vào tháng 3-4 hàng năm và trẻ từ 1-10 tuổi chiếm tỷ lệ mắc bệnh nhiều nhất. Đáng lưu ý là có đến 80-90% đối tượng chưa chủng ngừa thủy đậu có khả năng mắc bệnh. Thủy đậu có thể gây ra những biến chứng nguy hiểm, thậm chí tử vong ơ trẻ nhỏ. Do đó, việc chủ động phòng ngừa thủy đậu bằng cách tiêm vaccine phòng ngừa và thời điểm tốt nhất để chủng ngừa là trước khi mùa dịch xảy ra”.
 |
Bé gái 23 tháng bị thủy đậu dù đã tiêm ngừa 1 liều vaccine. |
Hiện nay, liên quan đến vấn đề tiêm ngừa bệnh thủy đậu, thực tế đã có một số trường hợp bị nhiễm lại mặc dù trước đó đã được chủng ngừa. Chẳng hạn tại BV. Nhi đồng I, thành phố Hồ Chí Minh đã có nhiều bệnh nhi đến khám và điều trị do rơi vào trường hợp này, điển hình như: bé V.L.M.T, 4 tuổi, ngụ ở quận 5, TP.HCM vừa bị thủy đậu, mặc dù bé đã được tiêm ngừa lúc 12 tháng tuổi. Tuy nhiên, theo gia đình bé kể thì tình trạng bệnh của bé ở mức độ nhẹ, nốt rạ nổi ít, khoảng 1 tuần thì hết hẳn. Bé mắc bệnh do lây từ người bố vừa bị nhiễm trước đó. Hay như trường hợp một bé gái 23 tháng tuổi bị thủy đậu dù đã tiêm một liều vaccine. Hoặc trường hợp 2 chị em bé N.H.A.T, 7 tuổi, ngụ tại quận Tân Bình, TP.HCM đã tiêm ngừa thủy đậu nhưng cả 2 chị em đều mắc lại.
Lý giải về trường hợp này, BS. Khanh cho rằng: theo nghiên cứu, một số trẻ đã tiêm ngừa một liều vaccine nhưng vẫn có thể bị nhiễm lại thủy đậu khi tiếp xúc với virus thủy đậu hoang dại. Hiện tượng này xảy ra là do nồng độ kháng thể bị giảm dần theo thời gian. Theo một nghiên cứu cho kết luận: trẻ tiêm ngừa sau 5 năm mắc nhiều hơn trẻ trước 5 năm và tỷ lệ nhiễm lại tăng dần theo năm, từ 1,6/1.000 người/năm đầu; 9/1.000 người sau 5 năm và 58,2/1.000 người sau 9 năm. Hiện tượng nhiễm lại thủy đậu rất dễ xảy ra khi có yếu tố tiếp xúc với người bệnh. Tuy nhiên, bệnh thường nhẹ, ít sang thương và thời gian lành bệnh ngắn hơn. Đáng lưu ý là bệnh vẫn có khả năng lây lan tương tự trẻ không chủng ngừa. Bệnh thường gặp hơn nếu tiêm ngừa trước 14 tháng, trong vòng 28 ngày sau tiêm MMR và nếu trẻ dùng corticoide uống.
Đến lúc phải sử dụng 2 liều
Thủy đậu là một bệnh có tính lây nhiễm rất cao do virus Varicella Zoster gây nên. Những nơi tập trung đông người như: trường học, cơ quan, xí nghiệp… là những môi trường rất dễ bùng phát thành dịch. Các bác sĩ khuyến cáo thời điểm tiêm ngừa tốt nhất là trước khi mùa dịch xảy ra. Tuy nhiên, kể từ tháng 6/2007, Ủy ban thực hành tiêm chủng Hoa Kỳ đã khuyến cáo chủng ngừa 2 liều vaccine thủy đậu cho cả trẻ em từ 12 tháng đến 12 tuổi. Việc này sẽ giúp tăng cường hiệu quả bảo vệ chống lại căn bệnh này.
BS. Khanh đã đưa ra một câu chuyện phòng ngừa thủy đậu tại Hoa Kỳ qua nghiên cứu từ 545 học sinh (96% trẻ có tiêm ngừa) thì có 49 ca bị thủy đậu, trong đó có 43 ca đã chủng ngừa. Thời gian trung bình mắc bệnh sau tiêm ngừa khoảng 59 tháng. Như vậy, một liều vaccine ngừa được khoảng 80 85%. Số ca giảm nhưng dịch vẫn xảy ra trong trường học, ngay cả các trường có tỷ lệ tiêm ngừa cao. Do đó, trẻ từ 12 tháng đến 12 tuổi: tiêm 1 liều và nên chủng ngừa thêm liều thứ 2 cách liều thứ 1 tốt nhất sau 6 tuần hoặc trong khoảng 4-6 tuổi, để gia tăng hiệu quả bảo vệ bệnh và giảm sự nhiễm lại thủy đậu cho trẻ. Đối với trẻ trên 13 tuổi, thanh thiếu niên và người lớn nên tiêm 2 liều cách nhau 6 tuần.
Nga phát minh ra vaccine chống phóng xạ
Các nhà khoa học ở Trung tâm nghiên cứu Vladikavkaz thuộc Viện hàn lâm khoa học Nga vừa phát minh ra một loại vaccine trung hòa được những ảnh hưởng của phóng xạ đối với sinh vật sống. Giới chuyên gia Nhật Bản đang quan tâm đến loại thuốc này và có ý định sử dụng để hóa giải tác động của phóng xạ do động đất và sóng thần gây ra đối với những người làm việc tại nhà máy điện hạt nhân Fukushima-1.
Theo giáo sư Vyacheslav Maliyev, người đứng đầu Phòng công nghệ sinh học của Trung tâm nghiên cứu khoa học Vladikavkaz, vaccine này được chế tạo cùng với Cơ quan hàng không vũ trụ Mỹ (NASA) từ năm 2006 và chuẩn bị “xuất xưởng”. Thuốc được tiêm thử nghiệm cho những con vật thí nghiệm đã nhận liều phóng xạ mà sau đó chúng không thể sống quá 7 ngày. Những con vật được tiêm thuốc của Mỹ bị chết vào ngày thứ 4. Những con vật thí nghiệm được tiêm thuốc của Nga thì sống sót và 2 tháng sau, cơ thể chúng không biểu lộ sự bất thường nào.
Các giai đoạn tiếp theo, các chuyên gia Nga và Mỹ cùng nghiên cứu, chủng ngừa thuốc này ở động vật và cũng như ở tế bào người và đã khẳng định tính hiệu quả của thuốc. Theo các nhà khoa học từ Vladikavkaz, vaccine này có tác dụng với loại phóng xạ vượt mức cho phép hàng nghìn lần nhưng cho đến nay vẫn chưa đưa ra áp dụng lâm sàng. Ông Voldemar Tarita - người đứng đầu phòng thí nghiệm Trung tâm Y khoa cấp cứu và bức xạ toàn Nga thuộc Bộ Các tình huống khẩn cấp cho biết, để phát triển và thử nghiệm dược phẩm để điều trị các bệnh do phóng xạ, nơi mà các tổn thương ở cấp độ ADN, thường đòi hỏi phải mất nhiều năm.
Trong số các thuốc làm giảm mức độ ảnh hưởng của phóng xạ đối với con người, đơn giản nhất và dễ tiếp cận nhất là các chế phẩm i-ốt có khả năng bảo vệ tuyến giáp trạng. Các chuyên gia nhấn mạnh, khi nền phóng xạ đang ở mức bình thường, chúng ta không nên tự điều trị bằng các chế phẩm có chứa i - ốt hoặc các chất phụ gia sinh học bởi dùng quá liều các loại thuốc đó sẽ dẫn đến hậu quả tiêu cực như dị ứng, phát ban, sốt... và các bệnh viêm da. Để phòng ngừa ảnh hưởng của phóng xạ ban đầu, chỉ cần ăn rong biển là đủ.
Sau khi về nước, tất cả các nhân viên đội cứu hộ Nga, làm việc tại Nhật Bản sau thảm họa động đất và sóng thần gây rò rỉ phóng xạ tại nhà máy điện hạt nhân Fukushima số 1, sẽ được xét nghiệm phóng xạ bằng thiết bị chuyên dụng độc đáo của Trung tâm Y khoa cấp cứu và phóng xạ khẩn cấp tại thành phố St Petersburg.
WHO lên tiếng về vaccine ngừa tiêu chảy rotavirus
Tổ chức Y tế Thế giới (WHO) khẳng định không có bất kỳ nguy cơ nào về sức khỏe đối với những người sử dụng vaccine ngừa tiêu chảy Rotarix. Tiếp theo thông báo của Cục Quản lý Thực phẩm và Dược phẩm Mỹ (FDA) và Cục quản lý Dược phẩm châu Âu (EMA) về việc sử dụng vaccine ngừa tiêu chảy do rotavirus, loại Rotarix, Tổ chức Y tế thế giới (WHO) khuyến cáo tất cả các quốc gia đang sử dụng vaccine cân nhắc kỹ về những lợi ích quan trọng của việc tiếp tục sử dụng loại vaccine này. Tuyên bố của FDA và EMA tiếp sau báo cáo gần đây gởi đến nhà sản xuất vaccine là chuỗi DNA có nguồn gốc từ porcine circovirus 1 (PCV1) đã được phát hiện trong hai lô của vaccine trong một nghiên cứu tiến hành tại Mỹ.
 |
Vaccine Rotarix đã được chứng nhận chất lượng. |
Tổ chức Y tế Thế giới đồng tình với quan điểm của FDA và EMA rằng những phát hiện này không hiện diện bất kỳ nguy cơ nào đối với sức khỏe cộng đồng . Hơn nữa, rotavirus là nguyên nhân thường gặp nhất gây tiêu chảy cấp nặng ở trẻ nhỏ trên khắp thế giới, với ước tính 527.000 trường hợp tử vong ở trẻ dưới 5 tuổi, hầu hêt những trẻ này sống ở các quốc gia có thu nhập thấp. Vì thế WHO không khuyến cáo bất kỳ sự thay đổi nào về cách thức sử dụng Rotarix. Vaccine này đã được chứng nhận chất lượng bởi Tổ chức Y tế thế giới và tình trạng về chứng nhận chất lượng vẫn không đổi. WHO sẽ tiếp tục làm việc sát với FDA, EMA và các cơ quan quản lý đăng ký một cách khẩn trương để đánh giá thông tin thêm mà nhà sản xuất sẽ cung cấp.
Chưa có tai biến do vaccine viêm màng não
Mới đây, Bộ Y tế Nhật Bản đã quyết định ngừng sử dụng 2 vaccine phòng các bệnh về viêm phổi và viêm màng não là Prevenar và ActHIB trong khi chờ kết quả điều tra về cái chết mới đây của 4 bé sơ sinh sau khi tiêm 2 loại vaccine này.
Trước thông tin trên, ngày 9-3, PGS.TS Nguyễn Trần Hiển, Viện trưởng Viện Vệ sinh dịch tễ Trung ương cho biết, tại nước ta hiện mới chỉ lưu hành vaccine ActHIB, ngừa bệnh viêm màng não mủ. Còn vaccine phòng viêm màng não mủ có trong vaccine phối hợp 5 trong 1 đang sử dụng ở nước ta vẫn là loại vaccine mà WHO khuyến cáo an toàn cho tiêm chủng. Đến thời điểm này, cả nước chưa ghi nhận trường hợp tai biến do tiêm vaccine viêm màng não. Ông Nguyễn Trần Hiển cũng cho biết, ngay sau khi nhận được thông tin về việc 2 loại vaccine trên tạm dừng sử dụng ở Nhật Bản, Chương trình Tiêm chủng mở rộng quốc gia và Bộ Y tế đã triển khai việc kiểm tra lại thông tin và sẽ sớm đưa ra khuyến cáo cho cộng đồng.