“Cho trẻ bú bình sữa bằng nhựa cứng cũng giống như cho uống thuốc tránh thai...” Các bà mẹ sẽ giật mình với nhận định trên của một giáo sư Mỹ. Đó là nhận định của giáo sư sinh vật học Frederick vom Saal, Đại học Missouri-Columbia trên tạp chí Environmental Health Perspectives của Mỹ.Lý do của nhận định trên là do trong các sản phẩm bình sữa, núm vú giả, đồ chơi trẻ em... có chứa chất Bisphenol-A (BPA), đang được sử dụng phổ biến trong sản xuất đồ nhựa cứng.
Hầu hết các mẫu xét nghiệm trên người ở Mỹ đều phát hiện chất Bisphenol-A (BPA). Đây là hóa chất nhân tạo được sử dụng để sản xuất các sản phẩm làm từ chất dẻo polycarbonate như bình sữa em bé, hộp chứa thức ăn, chai nước, đồ chơi, núm vú giả cho trẻ em ngậm... Hóa chất này cũng được tìm thấy trong keo epoxy, vốn được dùng để tráng bên trong các loại đồ hộp và chất trám răng cho trẻ em.
BPA trong các đồ dùng trên có thể nhiễm vào thức ăn, đặc biệt khi nung nóng đồ dùng hoặc cọ rửa với xà phòng chứa chất tẩy mạnh. Tại Mỹ, hiện có 15 công ty sản xuất hơn 3,2 triệu tấn BPA mỗi năm và ngành hóa chất đã tiến hành 11 nghiên cứu nhằm chứng minh BPA vô hại đối với con người. Tuy nhiên, tất cả kết quả trên đều không chính xác.
 |
Bisphenol-A có trong nhiều sản phẩm bằng nhựa (Hình minh họa) |
Bisphenol-A là gì?
Bisphenol-A (BPA) là một hóa chất nhân tạo được dùng trong sản xuất các sản phẩm làm bằng chất dẻo polycarbonate như hộp đựng thức ăn trong tủ lạnh, bình nước, bình sữa trẻ em, đồ chơi, núm vú giả...
BPA chủ yếu có trong sơn epoxy - một loại sơn bảo quản dùng để tráng bên trong các sản phẩm bằng nhựa và đồ hộp kim loại đựng thực phẩm, nhằm bảo quản, chống lão hóa, chống thấm và ăn mòn.
Ngoài đồ gia dụng, chất bisphenol-A còn rất phổ biến trong các loại sơn tổng hợp, đặc biệt là những loại dùng để sơn cửa, bàn ghế, tường nhà…
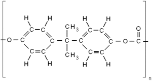
Tổng hợp chất dẻo polycarbonate từ BPA:
BPA tác dụng với NaOH trở thành dạng ion diphenol
Ion diphenol tác dụng với phosgene tạo thành dạng chloroform của BPA:
Hai dạng ion này tác dụng với nhau tạo chuỗi polycarbonate:
Bisphenol trong cấu tạo của polycarbonate:
Một số nghiên cứu về tác hại của Bisphenol A
Các nhà khoa học Mỹ cho rằng, Bisphenol-A có tác dụng giống như hoóc môn sinh dục nữ oestrogen, can thiệp vào quá trình tự nhiên của cơ thể. BPA có liên quan đến những ảnh hưởng xấu đối với hoạt động sinh sản của cả nam và nữ, làm thay đổi chức năng hệ miễn dịch, gây rối loạn hành vi và bất thường về khả năng nhận thức. Về lâu dài, nó sẽ làm tổn thương não bộ, gây ra căn bệnh Alzheimer và một số bệnh ung thư. Trẻ nhỏ sớm tiếp xúc với Bisphenol-A sẽ bị tổn thương vĩnh viễn.
Ở Việt Nam hiện chưa có nghiên cứu nào về tác hại của chất BPA, tuy nhiên, theo một vị Phó giáo sự của Viện Hoá học, viện Khoa học Việt Nam, chất BPA thuộc nhóm polycarbonat và do đó nó có thể gây ung thư giống như một số thành viên khác trong nhóm chất dẻo polycarbonat.
Các nghiên cứu về ảnh hưởng của BPA đến sức khỏe đã chứng minh tác động của nó như sau:
Trên động vật thí nghiệm: thí nghiệm in vivo
- BPA (theo đường tiêu hóa hay tiêm dưới da) làm biến đổi kích thước, khối lượng của một số cơ quan như gan, thận, mang tràng, tử cung, bóng đái. Khi BPA xâm nhập vào cơ thể theo đường hô hấp (cho động vật thở không khí chứa BPA) làm xung huyết và viêm đường hô hấp trên.
- Các biến đổi vi thể: tạo các tế bào gan phì đại và đa nhân, tạo các khối thoái hóa kính trong bàng quang, biến đổi các biểu mô kép lát của tử cung và âm đạo, thay đổi cấu trúc của các ống sinh tinh, giảm số lượng tinh trùng ở con đực...
- Đối với khả năng sinh sản: BPA làm giảm khả năng sinh sản, giảm số lượng con đẻ ra, khối lượng sơ sinh của con non
- Thay đổi đến biểu hiện thành thục về tính của động vật thông qua ảnh hưởng đến bộ não và trục dưới đồi thị - tuyến yên - tuyến sinh dục.
- Thay đổi biểu hiện các gene mã hóa các cơ quan thụ cảm hormon sinh dục cái.
Nghiên cứu in vitro:
- BPA biểu hiện khả năng kích thích sự nhân lên của tế bào ung thư vú (MCF-7 cells), một loại tế bào mẫn cảm với hormon sinh dục nữ estrogen.
- Cạnh tranh và khóa cơ quan thụ cảm hormone sinh dục nam (testosteron) tái tổ hợp trên nấm men
- Đặc biệt, BPA ảnh hưởng đến quá sự phân ly của cặp nhiễm sắp thể trong giảm phân của các tế bào trứng trong buồng trứng.
Rõ ràng BPA không những biểu hiện độc tính với cơ thể nói chung mà còn thuộc chất gây ảnh hưởng đến sinh sản. Các nhà khoa học và nhiều tổ chức đã xếp BPA vào nhóm các chất gây biến đổi nội tiết (các endocrine disruptors).
Một khi có ảnh hưởng đến chức năng của các hormone, BPA sẽ có ảnh hưởng đến sự phát triển một số loại ung thư phụ thuộc hormon.
Một số quan sát cho thấy trẻ em dùng núm vú giả và bình sữa bị ảnh hưởng đến quá trình thành thục giới tính. Tin tức này được vnexpress bình chọn là một trong những sự kiện khoa học năm 2005. Có phải BPA là thủ phạm dẫn đến hiện tượng này?
Ứng dụng của Bisphenol A
Năm 1953, TS Hermann Schnell làm việc cho công ty Bayer (Đức) và TS Dan Fox (công ty General Electric Mỹ) đã độc lập tổng hợp polycarbonate với vật liệu khởi đầu là BPA. Chất dẻo polycarbonate có những đặc tính ưu việt như sức chịu nhiệt, chịu lực và đặc biệt là tính quang học nên nhanh chóng được thương mại hóa, đưa vào sản xuất năm 1957 (tại Mỹ) và 1958 (tại châu Âu) rồi có mặt trong hàng loạt sản phẩm công nghiệp như các thiết bị quang học, thiết bị y tế, các dụng cụ thí nghiệm, các loại hộp và chai dùng cho chế biến thực phẩm, các phương tiện số hóa như CD, DVD, điện thoại di động, các hàng điện tử, vật liệu xây dựng, hàng loạt các đồ dùng trong gia đình...
Những quan điểm trái ngược
Các công bố của giới khoa học về tác hại của BPA liên tục xuất hiện trong những thập kỷ qua. Bên cạnh các kết quả khẳng định tác hại của BPA cnf có các thí nghiệm cho kết quả âm tính (BPA không biểu hiện ảnh hưởng). Tuy nhiên vấn đề mấu chốt là liều lượng thử và mục đích thí nghiệm (nghiên cứu ảnh hưởng ở cơ quan nào, loại tế bào nào...). Dù sao thì các thí nghiệm chỉ tiếp diễn trong một thời gian nhất định (có khi là 3 ngày theo hướng dẫn của tổ chức hợp tác và phát triển kinh tế-OECD, có khi là một tuần, một tháng hay một năm). Đối với con người điều gì sẽ sảy ra nếu mỗi ngày trong suốt cuộc đời (cả khi còn trong bụng mẹ) ta đã phải tiếp xúc với nó?
Ngay những tháng đầu năm 2006, trong khi một số tổ chức thuộc chính phủ Mỹ, Đức, hội đồng khoa học của ĐH Harvard nổi tiếng khẳng định BPA chỉ gây độc khi vào cơ thể với liều cao, các bang Maryland, California, Minnesota của Mỹ vẫn ban hành quy định cấm sản xuất, lưu hành tất cả các đồ chơi có chứa BPA cho trẻ dưới 3 tuổi.
Rõ ràng ai cũng biết BPA có hại không ở liều thấp thì cũng ở liều lượng cao nhưng thật khó vì con người cũng đã phụ thuộc vào nó quá nhiều.
BPA gây hại như thế nào?
Làm hỏng men răng của trẻ nhỏ
Công bố hôm 10/06/2013 trên tạp chí American Journal of Pathology, nhà khoa học Pháp Katia Jédéon, thuộc Trung tâm nghiên cứu Cordeliers (bao gồm Inserm, trường đại học Paris V, Paris VI và Paris VII), đã phát hiện ra rằng việc phơi nhiễm chất BPA dù ở liều lượng thấp cũng ảnh hưởng đến quá trình hình thàng răng sữa của trẻ.
Theo giả định của các tác giả, bệnh thiếu khoáng chất ở men răng hàm và răng cửa (MIH) rất có thể là do bị phơi nhiễm BPA vào giai đoạn cận sản. Theo mô tả của Sylvie Babajko (Inserm) – người hướng dẫn nghiên cứu : « bệnh MIH là một hiện tượng bệnh lý mới phổ biến gần đây.
Bệnh được đặc trưng bởi các vết trăng trắng hay ngà vàng trên các răng hàm hay răng cửa sữa. […] Bệnh lý này liên quan từ 16% đến 18% trẻ em tại Pháp ». Theo bà, hiện tượng thiếu khoáng chất men răng tuy nhẹ, nhưng chúng có thể làm răng yếu đi, nhất là có thể gây sâu răng.
Đối với các tác giả, bệnh MIH cũng có thể được xem như là một dấu hiệu rõ nét của việc bị phơi nhiễm chất BPA hay các phân tử hóa chất khác cũng mang cùng cách thức hoạt động tương tự.
Các kết quả nghiên cứu trên động vật hay trên người gần đây đã khẳng định rằng phơi nhiễm chất BPA trong giai đoạn đầu thai kỳ hay giai đoạn đầu đời của trẻ có thể làm gia tăng phát triển nhiều bệnh lý sau này như béo phì và tiểu đường type 2, ung thư vú hay tuyến tiền liệt, rối loạn sinh sản, rối loạn hệ thần kinh hành vi… Do đó, các nhà khoa học này có thể tiếp tục quan sát trực tiếp một số trẻ bị mắc chứng bệnh thiếu khoáng chất men răng.
Khiến tế bào trứng bất thường
Trước đó, giáo sư VandeVoort - Trường đại học California (Mỹ), những đứa trẻ khi nhiễm BPA khi còn trong bụng mẹ khiến phụ nữ đối diện với nhiều nguy cơ rối loạn về sinh sản sau này.
Theo đó Khi đó, người phụ nữ khi lớn lên sẽ có các tế bào trứng có nhiều nhiễm sắc thể, dẫn đến sinh con gặp các rối loạn như hội chứng Down hoặc sẩy thai.
Nghiên cứu cũng cho thấy bào thai bị phơi nhiễm BPA có vấn đề về sự hình thành các nang, là những cấu trúc bao quanh trứng khi chúng phát triển, khiến trứng chết trước khi trưởng thành
Gây vô sinh ở nam giới
Nam giới thường xuyên phơi nhiễm với các chất hóa học trong đồ nhựa có số lượng tinh trùng thấp hơn.
Các chất hóa học trong đồ nhựa từ lâu đã là mối quan tâm của nhiều nhà khoa học vì nó có thể gây hại cho sức khỏe, một trong những tác hại này là các rối loạn ở cơ quan sinh sản của nam giới. Một số nghiên cứu đã cho thấy phơi nhiễm với một vài chất hóa học có thể gây vô sinh.
Chất Bisphenol-A (BPA) trong đồ nhựa bị nghi ngờ là nguyên nhân gây ra các vấn đề rắc rối ở cơ quan sinh sản. Các chất hóa học trong đồ nhựa tác dụng như những hormon sinh dục nữ được gọi là estrogen và hormon endrogen.
Báo cáo nghiên cứu được đăng trên tạp chí Fertility and Sterility có đề cập tới các công nhân nam ở một nhà máy của Trung Quốc phơi nhiễm với các chất hóa học trong đồ nhựa có số lượng tinh trùng thấp hơn bình thường. Nghiên cứu này ủng hộ các nghiên cứu trước đó cho thấy các chất hóa học trong đồ nhựa ảnh hưởng tới sự phát triển giới tính của trẻ sơ sinh nam.
Nghiên cứu bao gồm 130 nam công nhân Trung Quốc hàng ngày tiếp xúc trực tiếp với các vật chứa BPA. Sức khỏe của họ được so sánh với 88 công nhân không phơi nhiễm với BPA. Kết quả cho thấy những công nhân tiếp xúc nhiều với BPA có số lượng tinh trùng thấp nhất. Số lượng tinh trùng ít sẽ dẫn tới vô sinh ở nam.
BPA có trong nhiều sản phẩm gia dụng như là: túi, hộp, chai và các vật dụng khác bằng nhựa.
EU cấm sử dụng bình sữa có chứa hóa chất BPA
Ủy ban châu Âu (EC) vừa cho biết khối này có thể cấm sử dụng các bình sữa dành cho trẻ em có chứa hóa chất Bisphenol-A (BPA) theo một dự thảo luật sẽ được đề xuất vào năm tới do lo ngại những bình sữa như vậy có thể gây tác hại tới sức khỏe của trẻ em.
Ủy viên phụ trách về sức khỏe của Liên minh châu Âu (EU) John Dalli muốn loại các bình sữa trên khỏi lưu thông trên toàn bộ 27 quốc gia thành viên EU vì những điều "không rõ ràng" về tác động của nó đối với trẻ sơ sinh.
Hiện chỉ có hai nước thành viên EU là Pháp và Đan Mạch cấm sử dụng loại bình sữa có chất Bisphenol-A. Nhà chức trách Đan Mạch còn đi xa hơn khi cấm tất cả các thực phẩm có chứa Bisphenol-A dành cho trẻ em từ 3 tuổi trở xuống.
Các lệnh cấm như vậy cũng đã được áp dụng tại Australia, Canada và một vài bang ở Mỹ. Hồi tháng 10, Canada trở thành nước đầu tiên trên thế giới xem Bisphenol-A là chất độc hại, bất chấp sự phản đối của những người trong ngành.
Người phát ngôn của ông Dalli, bà Frederic Vincent cho biết dự kiến dự thảo luật sẽ được đưa ra trong quý 1/2011. Ông Dalli quyết định soạn thảo dự luật trên sau khi Cơ quan an toàn thực phẩm châu Âu hồi tháng Chín ra một báo cáo của các chuyên gia về chất Bisphenol-A. Báo cáo này cho rằng chất Bisphenol-A là an toàn với định lượng nhỏ, song vẫn còn "nhiều lĩnh vực không rõ ràng".
Chất độc Bisphenol-A tràn lan ở Việt Nam
Ở Việt Nam, BPA có mặt trong các loại đồ chơi trẻ em và đồ gia dụng bằng nhựa như bát đĩa, cốc, cặp lồng, hộp, chai, lọ, thùng đựng đồ uống như sữa, bia, rượu… Phần lớn đồ hộp bằng kim loại cũng được tráng sơn epoxy để bảo quản thức ăn. Bên cạnh epoxy, người ta còn sử dụng một số loại sơn bảo quản khác như urniorethan và diputinxalat cho các sản phẩm đựng thức ăn trong tủ lạnh. Ngoài đồ gia dụng, chất bisphenol-A còn rất phổ biến trong các loại sơn tổng hợp, đặc biệt là những loại dùng để sơn cửa, bàn ghế, tường nhà…
Phó giáo sư Nguyễn Văn Khôi, phòng vật liệu polymer, Viện Hoá học, Viện khoa học Việt Nam khẳng định các loại sơn bảo quản trên đều mang độc tính. Một số chất cấu thành có thể đi vào thức ăn nếu không được sản xuất theo đúng tiêu chuẩn an toàn. BPA là một ví dụ điển hình -nó có thể thôi nhiễm khi bao bì được đun nóng, được làm sạch bằng các chất tẩy rửa mạnh hoặc tiếp xúc với thức ăn hoặc đồ uống có tính axit.
Hiện Việt Nam chưa có nghiên cứu nào về tác hại của BPA, song theo ông Khôi, nó có thể gây ung thư giống như một số thành viên khác trong nhóm chất dẻo polycarbonat. Tại Mỹ, người ta đã cảnh báo BPA có thể ảnh hưởng xấu đến khả năng sinh sản của cả nam và nữ, làm thay đổi chức năng của hệ miễn dịch, gây rối loạn hành vi và khả năng nhận thức. Về lâu dài, nó có thể gây tổn thương não bộ, gây ra căn bệnh Alzheimer và một số bệnh ung thư. Trẻ nhỏ sớm tiếp xúc với Bisphenol-A sẽ bị tổn thương vĩnh viễn.
Hiện nay, BPA và phần lớn các chất phụ gia công nghiệp khác đang sử dụng tại Việt Nam đều được nhập khẩu từ nhiều nguồn với chất lượng khác nhau. Loại càng rẻ tiền thì lại càng nhiều tạp chất và độc tính càng cao. Tỷ lệ các chất phụ gia công nghiệp trong đồ gia dụng hiện nay đều do nhà sản xuất quyết định.
Cho đến nay, Việt Nam chưa có quy định nào về tiêu chuẩn an toàn của chất bisphenol-A. Phòng Khoa học tiêu chuẩn của Bộ Y tế cho biết, Bộ chỉ kiểm duyệt mức độ thôi nhiễm của hóa chất, trong đó có bisphenol-A, từ bao bì bằng chất dẻo ra thực phẩm, chứ không quản lý về chất lượng của bao bì. Còn Cục Tiêu chuẩn Đo lường Chất lượng thì có nhận thử nghiệm độc tính của các sản phẩm nhựa và đồ chơi trẻ em, nhưng là theo đơn đặt hàng, chứ không có chức năng kiểm duyệt.
Theo ông Khôi, để hạn chế rủi ro, người tiêu dùng nên lựa chọn sử dụng những mặt hàng có tên tuổi và chất lượng. Không nên ham rẻ mà dùng những đồ không rõ nguồn gốc được bày bán trôi nổi trên thị trường. Trường mẫu giáo và nhà trẻ cần đặc biệt quan tâm đến chất lượng khi mua sắm bát, đĩa, cốc nhựa và đồ chơi cho trẻ.
Vài kinh nghiệm phân biệt bình có chất BPA
Trên thị trường có rất nhiều bình sữa là làm bằng nhựa polycarbonate và có thể nhà sản xuất vì lý nào đó không ghi lên sản phẩm.
Bằng mắt thường, người dùng có thể chú ý một vài đặc điểm như:
Nhựa polycarbonate thường khá cứng, nhìn trong suốt vì có chất BPA.
Nếu dưới đáy bình có biểu tượng
có nghĩa là chắc chắn bình làm bằng nhựa polycarbonate.
Trong khi đó, các sản phẩm làm bằng nhựa polypropylene nhìn sẽ đục hơn và mềm hơn là nhựa polycarbonate.
Bình sữa được làm từ nhựa polypropylene sẽ có chữ PP hoặc biểu tượng
ở dưới đáy bình.
Vài điều bàn luận
Các sản phẩm từ polycarbonate và nhiều loại khác được sản xuất mới hay tái sinh, được sử dụng đúng thời gian hay đến khi hỏng vẫn còn được dùng. Chúng có được kiểm định để xác định thành phần sau khi xuất xưởng? Đồ nhựa ta dùng có bị tiếp xúc với hóa chất làm chúng bị thoái hóa và giải phóng BPA?... Tất cả cũng chỉ là câu hỏi.
Không thể không dùng và từ bỏ tất cả nhưng nên chăng ta tránh nó ở mức độ có thể:
- Không dùng những đồ nhựa đã bị hư hỏng
- Tránh cho chúng tiếp xúc với hóa chất trong đó có các chất tẩy rửa
- Không nên cho trẻ nhỏ chơi đồ chơi bằng chất dẻo và nhựa, hạn chế dùng núm vú giả
- Không dùng các hộp cũ bằng nhựa hay bằng thiếc
Để hạn chế rủi ro, các bà mẹ nên lựa chọn sử dụng những mặt hàng có tên tuổi và chất lượng. Không nên ham rẻ mà dùng những đồ không rõ nguồn gốc được bày bán trôi nổi trên thị trường. Chúng ta cũng có thể lựa chọn cho con mình loại bình sữa có ghi rõ “BPA free” (không có BPA). Các bà mẹ đừng vì một chút chủ quan mà làm ảnh hưởng đến sức khoẻ lâu dài của con em mình.
Tài liệu tham khảo
1.Dana Seidova-Wuttke et al. (2005) Effects of bisphenol A (BPA), dibutylphtalate (DBP), benzophenone-2 (BP2), procymidone (Proc), and linurone (Lin) on fat tissue, a variety of hormones and metabolic parameters: A 3 months comparison with effects of estradiol (E2) in ovariectomized (ovx) rats. Toxicology 213, 13-24.
2.Patricia et al. (2003) Bisphenol A exposure cause meiotic aneuploidy in the female mouse. Current Biology Vol. 13, 546-553.
3.Science News: Week of Jan. 21, 2006
4.http://tusach.thuvienkhoahoc.com
5.http://www.hoahocngaynay.com