Sự phát triển của hóa chất nhóm pyrethroid
Pyrethroid là dẫn xuất của este cacboxylat (còn gọi là este pyrethrum hoặc este của pyrethrin, có nguồn gốc tự nhiên từ cây hoa cúc Chrysanthemum cinerariaefolium và C.roseum chứa nhiều hoạt chất pyrethrin độc đối với côn trùng. Các hoạt chất pyrethrin có thể được chiết xuất từ hoa, lá khô và rễ cây bằng một dung môi, chúng có tác dụng gây chết tức thời đối với côn trùng. Trong dịch chiết của pyrethrin có sáu este của hai axit cacboxylic với ba xyclopentenolon với tỷ lệ khác nhau.
Pyrethrin có phổ trừ sâu rộng, hiệu lực diệt cao, độc tính thấp với động vật máu nóng, nhưng dễ bị phân hủy quang hóa nên chỉ dùng để diệt và loại côn trùng trong nhà. Chính nhờ tình chất quý báu đó của pyrethrin, đã thúc đẩy quá trình nghiên cứu tổng hợp các đồng đẳng của nó với hiệu lực diệt cao hơn và độ bền quang hóa tốt hơn nhằm đưa vào sử dụng rộng rãi thay thế cho những hợp chất diệt côn trùngnhóm clo hữu cơ, phốt pho hữu cơ và cacbamat. | Bảng cấu trúc của các axit và rượu tạo thành các este trong dịch chiết pyrethrin |
 |
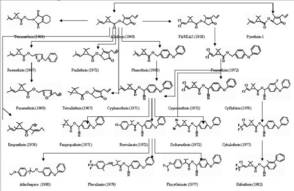
Quá trình nghiên cứu tổng hợp một số đại diện của họ thuốc pyrethroid đánh dấu những bước phát triển chính. Allethrin là chất đầu tiên được Schechter tổng hợp năm 1949, đã mô phỏng đúng theo cấu trúc của pyrethrin I cho tới nay vẫn còn được sử dụng rộng rãi để làm chất xua, diệt côn trùng trong nhà. Sau đó các nghiên cứu biến đổi cấu trúc pyrethrin đã nhằm vào hai phần của phân tử: phần rượu và phần axit. Khi giữ nguyên phần axit và thay đổi phần rượu, Kato thấy rằng thay N-hydroxyl metylphthalamit và dẫn xuất 3, 4, 5, 6 – tetrahydro của nó vào phần rượu thì thu được sản phẩm mới có hiệu lực cao hơn với ruồi và phát minh này đã dẫn đến sự tổng hợp chất tetramethrin vào năm 1964. Elliot phát hiện ra rằng nếu thay nhóm 5-benzyl-3 furylmetyl vào phần rượu thì chất mới có hiệu lực cao hơn pyrethrin và allethrin, phát minh này dẫn đến việc tổng hợp resmethrin vào năm 1975. Năm 1973 Fujimoto đã tổng hợp được phenothrin, chất đầu tiên được ghi nhận có tính bền quang. Năm 1976 bằng việc đưa nhóm xianua vào trong phân tử, Matsuo đã nhận thấy hiệu lựccủa hóa chất diệt tăng lên đáng kể dẫn tới sự xuất hiện xiphenothrin và fenpropathrin.
Trên cơ sở nghiên cứu thay đổi phần rượu, Ellott đã thay đổi phần axit của phân tử bằng cách đưa hai nguyên tử clo và nhóm vinyl và dãn tới việc tổng hợp ra Permethrin có hiệu lực tăng lên rõ rệt. Tương tự như vậy, việc đưa hai nguyên tử brom và nhóm vinyl đã dẫn đến sự xuất hiện của Deltamethrin, loại hóa chất diệt có hiệu lực mạnh nhất thời điểm đó. Bằng các kết quả nghiên cứu thay đổi các nhóm thế mà hàng loạt các chất tương tự như permethrin, là cypermethrin (1972), cyfluthrin (1976), cyhalothirn (1977), ethofenprox (1980), bifenthirn (1982) ra đời đánh dấu bước phát triển mới trong việc tổng hợp các chất diệt côn trùng nhóm pyrethroid. Quá trình tổng hợp một số hóa chất đại diện của nhóm pyrethroid được chỉ ra ở sơ đồ chuyển hóa sau:
Giới thiệu một số hoá chất nhóm pyrethroid thông dụng và ứng dụng
Permethrin
Cấu tạo và tính chất
Công thức cấu tạo |
|
Công thức phân tử | C21H20Cl2O3 |
Khối lượng phân tử | 391,28 g/mol |
Trạng thái | Bột tinh thể màu trắng, bền ở điều kiện bình thường, phân hủy ở nhiệt độ > 1900C |
Điểm nóng chảy | 340C |
Điểm sôi | 2000C |
Đặc tính kỹ thuật | Hầu như không tan trong nước (5,5.10-3 ppm), tan tốt trong dung môi hữu cơ như hexan, xylene. Bền trong môi trường acid, thủy phân trong môi trường kiềm; không ăn mòn nhôm; thuộc nhóm độc III. |
Permethrin là một hóa chất diệt côn trùng thông dụng, sinh vật ký sinh. Hóa chất này thuộc gia đình các hóa chất tổng hợp pyrethroid và có chức năng như là một chất gây độc tố cho thần kinh, làm tăng độ thấm của của Na qua màng tế bào thần kinh, kết quả gây nên sự lặp đi lặp lại và kéo dài xung động thần kinh trong cơ quan cảm giác và làm đình trệ xung động trong sợi thần kinh. Hóa chất này không gây hại nhanh động vật có vú và chim, nhưng là hóa chất rất độc đối với mèo và cá. Nói chung, permethrin có độ độc thấp với động vật có vú và hầu như không bị hấp thụ bởi da.
Ứng dụng
Kiểm soát côn trùng
Trong nông nghiệp, permethrin được sử dụng nhiều trong trồng cây bông, cây lúa mì, ngô và cỏ linh lăng. Ứng dụng của permethrin vẫn còn nhiều tranh cãi vì tính diệt côn trùng vô tội vạ của nó. Permethrin diệt hầu như tất cả các loài côn trùng, nó có thể gây hại đối với các loài côn trùng có lợi như ong mật và sinh vật sống dưới nước.
Permethrin trừ hiệu quả bọ xít, sâu ăn lá, sâu cuốn lá lúa, sâu đục bông, đục trái trên đậu, rầy mềm, …
Thuốc có tác dụng hạ gục côn trùng nhanh và dễ phân hủy dưới ánh nắng mặt trời. | |
| Permecide 50EC | Permethrin phòng trừ côn trùng gây hại trên rau quả |
Permethrin được tẩm vào quần áo để diệt bọ ve. Hóa chất này được cho vào các ống nhồi các tông phân hủy sinh học bằng vải bông tẩm permethrin. Khi chuột thu thập bông lót tổ của chúng, permethrin trong các sợi bông ngay lập tức giết chết bọ ve chưa trưởng thành kí sinh trên chuột mẹ.
Permethrin được sử dụng ở các vùng khí hậu nhiệt đới để phòng ngừa các bệnh do muỗi gây ra như sốt xuất huyết và sốt rét. Permethrin có thể được dùng để tẩm màng để chống muỗi, việc tẩm màng làm tăng hiệu lực của màng bằng cách giết côn trùng ký sinh trước khi chúng có thể tìm các khe hở hay các lỗ trên màng để chui vào. Binh sĩ làm nhiệm vụ trong các vùng sốt rét lưu hành có thể mặt quân phục được tẩm với permethrin, permethrin có thể di trì hiệu quả qua vài lần giặt.  Permethrin dùng tẩm màng chống muỗi sốt rét
| |
Chăm sóc sức khỏe
Permethrin được thoa trên người để tiêu diệt côn trùng gây bệnh ghẻ như chấy và ve bét; liều pha thông thường là 5% permethrin đối với ve bét, và liều điều trị pha sẵn đối với chấy/rận thường là dung dịch permethrin 1%. Tuy nhiên, theo Dược điển Anh cho rằng permethrin có hiệu lực diệt chấy thấp.
Permethrin cũng được dùng trong công nghiệp và dân dụng để kiểm soát côn trùng gây hại như kiến và mối.
Ảnh hưởng đến con người và động vật
Nếu tiếp xúc quá nhiều với permethrin, con người có thể bị buồn nôn, đau đầu, yếu cơ, tiết ra nhiều nước bọt, đau tim cấp và co giật. Người làm việc với hóa chất này có thể được giám sát bằng cách đo hàm lượng các chất chuyển hóa trong nước tiểu, trong trường hợp quá liều thì có thể đo hàm lượng của permethrin trong huyết thanh hay huyết tương.
Permethrin không cho thấy bất kỳ sự tác hại gen đáng chú ý nào hay ảnh hưởng đến hệ thống miễn dịch trên người và động vật nhưng theo phân loại của cơ quan bảo vệ môi trường mỹ (EPA), nó có khả năng gây ung thư, kết luận này dựa trên các nghiên cứu lặp lại trên chuột cho ăn permethrin đã phát triển các khối u trên gan và phổi. Hoạt tính gây ung thư trong các tế bào niêm mạc mũi vì sự hít phơi nhiễm được nghiên cứu, vì ảnh hưởng tác hại gen được tìm thấy trong các mẫu cơ của người, trong gan chuột. Điều này làm tăng sự lo lắng về phơi nhiễm đường miệng.
Một nghiên cứu năm 2007, sự tiếp xúc ở hàm lượng thấp trong một thời gian dài không gây ra dấu hiệu của nhiễm độc thần kinh đối với chất dẫn truyền đầu dây thần kinh dopamainergic hay tăng ảnh hưởng của MPTP. Các nhà nghiên cứu kết luận rằng: Ở các điều kiện sử dụng thông thường, permethrin ít độc đối với bệnh nhân Parkinson, cả khi permethrin được tẩm vào quần áo để kiểm soát ruồi.
Đối với động vật trong nhà: Permethrin độc đối với mèo. Nhiều con mèo đã chết sau khi dùng phương pháp giết rận ký sinh như trên chó hoặc tiếp xúc với chó vừa được điều trị với permethrin.
Cypermethrin
Cấu tạo và tính chất
Công thức cấu tạo |
Cyano(3-phenoxyphenyl)methyl3-(2,2-dichloroethenyl)-2,2dimethylcyclopropanecarboxylat. |
Công thức phân tử | C22H19Cl2NO3 |
Khối lượng phân tử | 416,29716 g/mol |
Trạng thái | Bột tinh thể không màu, bền ở điều kiện bình thường, phân hủy ở nhiệt độ trên 2200C. Dạng kỹ thuật có màu vàng nâu, nhớt. |
Điểm nóng chảy | 60-800C |
Đặc tính kỹ thuật | Ít tan trong nước, tan tốt trong dung môi hữu cơ như aceton (620g/L), xylen (351 g/L) và cyclohexanone (515 g/L) ở 250C. Tương đối bền trong môi trường trung tính và axit nhẹ, thủy phân trong môi trường kiềm, quang giải kém; không ăn mòn kim loại; thuộc nhóm độc II. |
Cypermethrin là một hóa chất nhóm pyrethroid tổng hợp, chúng được tổng hợp thành công vào năm 1974, là làm thuốc trừ sâu có phạm vi ứng dụng rộng trong nông nghiệp cũng như trong các sản phẩm tiêu dùng trong nhà như các sản phẩm diệt kiến và dán như Raid và phấn kiến.
Hóa chất này bị phân hủy dễ dàng trong đất và thực vật nhưng có thể di trì hoạt tính trong hàng tuần khi được phun lên những bề mặt trơ trong nhà. Khi tiếp xúc với ánh sáng mặt trời, nước và oxy, nó sẽ bị phân hủy nhanh hơn. Thời gian bán hủy của cypermethrin do quang phân tương đối nhanh hơn so với thủy phân. Trong nước (nhiệt độ 20oC và pH=4) thì thời gian bán hủy là 12,4-14,8 ngày, trong không khí thời gian bán hủy là 3,47 giờ và trong đất thời gian bán hủy là 34,2-38,2 ngày.
Ứng dụng
Cypermethrin là hóa chất diệt côn trùng phổ rộng, nó giết cả côn trùng có lợi và động vật cũng như côn trùng gây hại. Cypermethrin tác dụng gây độc nhanh với hệ thần kinh của côn trùng. Sự kháng cypermethrin đã phát triển nhanh chóng với những côn trùng tiếp xúc thường xuyên và có thể làm vô hiệu hóa hiệu lực hiệu lực của nó.
Cypermethrin tác dụngtiếp xúcvàvị độc, cóphổ tác độngrất rộng, trừ được nhiều loạicôn trùngvànhệnhại, đặc biệt là côn trùng thuộc bộLepidoptera. Lượng dùng từ 25-200 g/ha tùy thuộc vào loại cây trồng ngoài đồng.
Cypermethrin là một hóa chất thay thế hiệu quả cho Permethrin trong tẩm màng phòng chống sốt rét và phun tồn lưu.
Ảnh hưởng đến con người và động vật
Con người tiếp xúc quá nhiều, Cypermethrin có thể gây nôn mửa, đâu đầu, yếu cơ, ra nhiều nước bọt, suy hô hấp cấp và tai biến. Trong cơ thể người, cypermethrin bị mất hoạt tính bởi enzym thủy phân tạo ra các chất chuyển hóa là các axit carboxylic, các axit này sau đó được loại trừ qua nước tiểu. Công nhân tiếp xúc với hóa chất này có thể được kiểm soát bằng cách đo hàm lượng các chất chuyển hóa trong nước tiểu, trong khi đó một vài trường hợp tiếp xúc quá liều có thể xác định bằng cách định lượng cypermethrin in máu hoặc huyết tương.
Cypermethrin còn gây ảnh hưởng lên quá trình sinh sản của động vật, gây dị tật cột sống đối với chuột thí nghiệm. Nguy hiểm hơn, cypermethrin có thể gây đột biến nhiễm sắc thể của tế bào tủy xương, tỳ tạng và hình thành khối u trong phổi của chuột nhắc (Cox, 1996). Ngoài ra, cypermethrin còn gây giãn tĩnh mạch gan, hình thành các không bào trong nhu mô và thoái hóa tế bào gan.
Cypermethrin có thể gây độc đối với hệ sinh sản. Nếu phơi nhiễm với cypermethrin trong thời kỳ mang thai, chuột sẽ sinh ra con chậm phát triển. Với chuột đực phơi nhiễm cypermethrin, tỷ lệ tinh trùng không bình thường tăng lên. Nó gây hại hệ thống gen: khả năng không bình thường của nhiễm sắc thể tăng lên trong tủy xương và các tế bào lá lách khi chuột con đã nhiễm cypermethrin. Cypermethrin được phân loại là chất có thể gây ung thư cho người vì nó gây ra sự gia tăng tần xuất khối u phổi trong chuột cái. Cypermethrin có liên quan đến sự tăng nhân tế bào tủy xương ở cả chuột và người.
Mặc dù chưa có bằng chứng rõ ràng về tác hại của cypermethrin lên sức khỏe của con người, nhưng do chúng gây ảnh hưởng lớn đến hoạt động sản xuất thủy sản và nông nghiệp nên ngày 16/01/2012 Bộ NN&PTNT đã ban hành Thông tư số 03/2012/TT-BNNPTNT cấm sử dụng cypermethrin trong sản xuất, kinh doanh thủy sản.
Để an toàn cho sức khỏe của con người, FAO/WHO (1985) quy định dư lượng tối đa cho phép (MRLs) của cypermethrin đối với thực phẩm là 0,2-2 mg/kg và giới hạn lượng hấp thụ vào cơ thể là 0,05 mg/kg khối lượng cơ thể/ngày. Tùy theo quốc gia mà dư lượng tối đa cho phép trong thực phẩm có khác nhau, 0,01-0,5 mg/kg (Brasil), 2 mg/kg (Thụy điển) và 0,05-0,5 mg/kg (Mỹ). Dư lượng tối đa cho phép trong nước uống là 0,1 mg/L.
 Cypermethrin gây chết tôm hàng loạt | Cypermethrin là một trong những nguyên nhân làm tôm chết hàng loạt. Việc nông dân sử dụng thuốc diệt giáp xác Cypermethrin trong một thời gian lâu dài đã gây ra hội chứng hoại tử gan tụy trên tôm.(Thông tin từ viện Nghiên cứu nuôi trồng thủy sản 2-Bộ NN-PTNT) |
Deltamethrin
Cấu tạo và tính chất
Deltamethrin là tên chung do tổ chức tiêu dùng quốc tế đặt cho một loại hóa chất diệt côn trùng thuộc hệ pyrethroid, tên hóa học theo danh pháp của hội hóa học cơ bản và ứng dụng quốc tế là (S)-α-cyano-3phenoxybenzyl 1R, 3R)-3-(2,2-dibromovinyl)-2,2-dimethylcyclopropane cacboxylate.
Công thức cấu tạo |
|
Công thức phân tử | C22H19Br2NO3 |
Khối lượng phân tử | 505,2 g/mol |
Trạng thái | Bột tinh thể màu trắng, bền ở điều kiện bình thường, phân hủy ở nhiệt độ > 1900C |
Đặc tính kỹ thuật | Không tan trong nước, tan nhiều trong dung môi hữu cơ: Dioxan: 900g/l; cyclohexanone: 750 g/l; dicloromethane: 700g/l; Acetone: 500g/l; Benzen: 450g/l. Bền trong môi trường acid hơn môi trường kiềm, tương đối bền dưới tác động của không khí, nhưng dưới tác động của ánh nắng mặt trời hoặc tia tử ngoại bị phân huỷ; không ăn mòn kim loại; thuộc nhóm độc II. |
Đặc tính sinh học
Deltamethrin có tác dụng chọn lọc cao, ít độc hại với sinh vật có ích, diệt được các côn trùng và sâu kháng thuốc clo hữu cơ, phosphat hữu cơ và cacbamat.
Deltamethrin hòa tan nhanh trong lipit và lipoprotein nên có tác dụng tiếp xúc mạnh, thuốc gây hiện tượng choáng độc nhanh và có tác dụng xua đuỗi một số loài côn trùng. Độ độc cấp tính đối với người và động vật máu nóng thấp hơn nhiều so với hóa chất phosphat hữu cơ, nhanh chóng phân hủy trong cơ thể sống và môi trường, nhưng rất độc với cá và động vật thủy sinh.
Ứng dụng
Deltamethrin có tác dụng diệt theo đường tiếp xúc và tiêu hóa, liều gây độc LD50 = 139mg/kg (trong dung dịch dầu) và > 5000mg/kg trong dịch treo (đối với chuột), LD50 = 29040 mg/kg (đối với thỏ), diệt được nhiều loại côn trùng y học, trừ được ve, bét, chấy rận hại vật nuôi. Trong thực tế Deltamethrin được sản xuất dưới dạng K-othrin 2,5SC, 2,5WP, 2,5EC để tẩm màn, phun tồn lưu trên tường hay phu không gian xông hơi có tác dụng diệt muỗi cao. Deltamethrin có tính độc cao đối với côn trùng va một số động vật máu lạnh nhưng hầu như không độc với sinh vật máu nóng, có hệ số sử dụng an toàn cao.